生产制造过程不合格品的出现是难免的,问题是在产品制造成本最低的条件下,废品率越低越好。
一般制造总成本C是制造产品的固定费用C0、废品损失费用Ci和为提高产品质量支付的技术措施费用C2之和。
即 C=C0+C1+C2
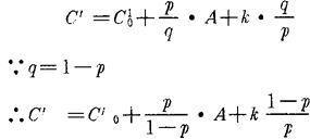
当制造n件产品时,每件合格品所负担的废品损失费用是:

q——合格率
p——不合格率
A——每件废品损失费
每件合格品所分摊的技术措施费用是:

k——比例系数
每件合格品的制造成本是:

制造成本最低时的废品率,可通过求C′对p的导数得到。

p′——最低制造成本的废品率
注:①k值可根据目前产品的合格率、废品率,每件合格品实际分摊的技术措施费,利用
公式求得。
②A=产品价格-废品材料回收费。