在一定偏好、技术和资源条件下社会福利极大化时的社会福利水平。
有两种求解方式:
(1)给定总效用可能性边界UU′:
H(U1,U2)=0
和社会福利函数:W=W(U1,U2)
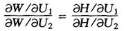
在效用空间中满足H(U1,U2)=0条件下,求解效用组合(
,U
)使W(
,
)极大化。在该处满足必要条件:

这在几何上表示特定的总效用可能性边界必与等社会福利曲线族中某条特定曲线相切,切点为最佳效用组合B(
,
),这条特定福利曲线所表示的就是最大社会福利(图1)。
(2)给定一条社会转换曲线TT′和社会无差异曲线族,在商品空间中TT′线必同该曲线族中一条特定的社会无差异曲线相切,切点B所代表的消费束是最佳社会消费束,这条特定社会无差异曲线所对应的社会福利就是社会最大福利(图2)。

图1

图2
〖参〗总效用可能性边界
社会福利函数
社会转换曲线
社会无差异曲线
最大社会福利产量