网站首页  词典首页


请输入您要查询的字词:

 

字词 月桂酸锌
类别 中英文字词句释义及详细解析
释义

月桂酸锌


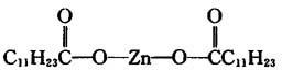
【结构式】:

【释文】:

制法 由月桂酸钠与锌盐反应而得。

性质 白色细微粉末。水分<1.0%。熔点120℃。

用途 本品可作为聚氯乙烯的热稳定剂,透明性和初期着色性与硬脂酸镉相似,耐热性稍差,与钡镉皂并用有协同效应,可减少着色性,但用量需严格控制,用量过大时有发黑之弊。

毒性 本品可视为无毒,毒性系数T=1000。美国、日本和德国等国许可其用于接触食品的制品。

国外生产厂

随便看

 

离鸟网收录3541549条中英文词条,其功能与新华字典、现代汉语词典、牛津高阶英汉词典等各类中英文词典类似,基本涵盖了全部常用中英文字词句的读音、释义及用法,是语言学习和写作的有利工具。

 

Copyright © 2004-2024 vtrois.com All Rights Reserved
更新时间:2026/4/7 23:32:23