有害粉尘、尘雾、烟雾允许浓度(TLV表,摘自日本的有关标准),见表1-1。
表1-1 有害粉尘、尘雾、烟雾允许浓度(TLV表)






矾土、蚂蟥石、石棉粉尘大小的比较,见图1-1。

图1-1 矾土、蚂蟥石、石棉照片比较
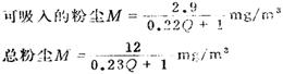
矿物性粉尘的TLV计算,如图1-2所示。

图1-2 矿物性粉尘的TLV计算图
当矿物性粉尘的TLV游离硅酸含量在10%以上时:

式中 M——允许浓度;
Q——粉尘中游离硅酸含量(%)。
各种粉尘的TLV值,如表1-2所示。
表1-2 各种粉尘的TLV表

矾土炉渣、重油锅炉粉尘、木材研磨粉尘的比较,如图1-3所示。

矾土炉渣 重油锅炉粉尘 木材研磨粉尘
图1-3 矾土炉渣、重油锅炉粉尘、木材研磨粉尘的比较