网站首页  词典首页


请输入您要查询的字词:

 

字词 期望效用函数
类别 中英文字词句释义及详细解析
释义

期望效用函数


又译作预期效用函数。

反映随机事件与其效用的对应关系且满足预期效用性质的消费者效用函数。这一理论是由诺伊曼(Von Neumann)和莫根施特恩(O.Morgenstern)在《对策论和经济行为》(1944年)一书中提出的。他们证明,在某些情况下,能够对特定的消费者建立一组数字,这组数字可以用来预测消费者在风险情况下的选择。

考虑只有两种结果的随机事件(如抽彩),L=(p,A,B)表示一个抽彩,以概率p得到结果A,以概率(1-p)得到结果B。预期效用性质是指效用函数U=U(x)满足:

U(L)=pU(A)+(1-p)U(B),且若L1≥L2,则有U(L1)≥U(L2)

根据预期效用定理,若(L,≥)满足以下五条公理,那么存在一个定义于抽彩空间L上的效用函数满足预期效用性质。

(1)理性公理:偏好关系满足完备性、自反性和传递性。

(2)连续性公理:若A≥B≥C,则必定存在某个概率p(0<p<1)使

B~(p,A,C)

(3)独立性公理:

若L1=(p,A,C),L2=(p,B,C),A≥B,则L1≥L2

(4)不相等概率公理:

若A>B,L1=(p1,A,B),L2=(p2,A,B),当且仅当p1>p2时,L1>L2

(5)复合抽彩公理:

设L1=(p1,A,B),L2=(p2,L3,L4),其中L3=(p3,A,B),L4=(p4,A,B),L2是复合抽彩,其奖品是彩票,若p1=p2p3+(1-p2)p4,则L1~L2

这一公理表明,消费者评价彩票只是根据得奖的可能性,而不是根据他参加了多少次抽奖。上述公理描述的消费者行为模式是很普遍的,很难以它们对消费者行为施加了不合理的限制为理由而反对他们。

然而它们排除了某些似乎是合理的行为,如连续性公理和复合抽彩公理排除了总是喜欢“确定的东西”或总是偏好赌博这样的行为。

与普通的效用函数不同,预期效用函数的任何正单调变换可能改变排序结果。但在递增线性变换下,预期效用的排序是不变的。对行为满足上述五个公理的人,预期效用公式可以用来为其构造效用数字。

对两种确定的结果A1和A2任意指定效用数字。例如,若A1>A2,则设U(A1)=20,U(A2)=1000,现在考虑A3,若有A2>A3>A1,则问消费者p为何值时,他对A3和(p,A1,A2)是无差异的。若p=0.8,解得U(A3)=0.8U(A1)+0.2U(A2)=216。如果对A4来说,A4>A2>A3>A1,问消费者p为何值时,A2~(p,A1,A4)。

若p=0.6解得U(A4)=2470。这一过程可以无限继续下去,只要满足诺伊曼-莫根施特恩公理,就不会产生矛盾的结论。

预期效用具有某些(但不是全部)基数测度的性质。如果

U(A)=kU(B)

断言消费者对A的偏好k倍于对B的偏好是没有意义的。

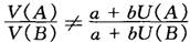
效用比率在线性变换时不是不变的。若V(A)=a+bU(A),V(B)=a+bU(B),a,b是正的常数,则:

但是效用数字提供了一个差距尺度,效用数字之间的差额是有意义的,这是因为效用数字差额的相对大小对线性变换是不变的:

与普通效用一样,人际之间的预期效用比较仍然是不可能的。

〖参〗效用函数

随便看

 

离鸟网收录3541549条中英文词条,其功能与新华字典、现代汉语词典、牛津高阶英汉词典等各类中英文词典类似,基本涵盖了全部常用中英文字词句的读音、释义及用法,是语言学习和写作的有利工具。

 

Copyright © 2004-2024 vtrois.com All Rights Reserved
更新时间:2026/4/8 1:26:58