网站首页  词典首页


请输入您要查询的字词:

 

字词 机械搅拌器
类别 中英文字词句释义及详细解析
释义

机械搅拌器


(一)机械搅拌器的型式、尺寸及结构

见表3-5-1。井矿盐生产中应用较广的为表中的推进式、桨式、开启折叶涡轮式及螺带式等。表中所列通用尺寸及叶轮端部圆周速度,应用时可按配用传动机械的转速,略微超过表列范围。

表3-5-1 搅拌器的型式、尺寸、特性、材料和结构

注:(1)桨式与开启涡轮式在外型上并无区别。习惯上把桨叶数<4,周速<3m/s的开启式搅拌器称为桨式,而把桨叶数>4,周速>3m/s的开启式搅拌器称为涡轮式。事实上,如果提高桨叶数<4的搅拌器的转速,它就起涡轮式搅拌器的作用;相反,如降低桨叶数>4的搅拌器的转速,它也就起桨式搅拌器的作用。

(2)层流区、过渡区和湍流区可参考图3-5-6,NR6<10为层流区,此区内操作的液体相对运动极小。NR6>1000为湍流区,液体之间相对运动甚大。两者之间为过渡区。

(3)围绕一固定轴的液体连续回转称为涡流。由液体涡流所产生的液面凹陷称为旋涡。

(二)搅拌器的选型

1.搅拌器选型引导

(1)桨式搅拌器(包括桨式、锚式或框式) 一般转速较慢,约20~80r/min。平直叶桨式(锚式或框式)主要产生旋转方向的液流,轴向搅拌作用微弱,混和效能不高,但结构简单,仍广泛用于促进传热、可溶性固体的混和及溶解等缓和的搅拌操作。折叶桨式搅拌器能造成一些轴向液流,提高搅拌效果;在搅拌桶壁上加装壁挡板,能减少中央旋涡,并造成一定程度的轴向液流,适用于含有少量固体悬浮液的搅拌操作。在固体悬浮液的搅拌中,双叶桨式搅拌器叶片的最适宜宽度为:

B=(0.1~0.15)D0 (3-5-1)

(2)涡轮式搅拌器 具有较高的转速,其剪切作用和容积循环速率大,搅拌效果好,适用于大容量、含固体小于60%、粘度较大的液体,也可用以制备相对密度差大的悬浮液。一般可将涡轮装在接近搅拌桶底部,使径向液流折而向上,卷起底部的沉淀颗粒。

井矿盐生产中,部分搅拌器采用二叶或四叶桨式,并提高转速,起到涡轮搅拌器的作用,并在搅拌桶壁加装壁挡板,用于卤水处理及盐浆搅拌,效果较好。

(3)推进式搅拌器 一般由三片螺旋推进桨组成。一般转速400~1750r/min,形成上下翻转的轴向液流。桨叶外如加装导流筒,可以加强轴向流动。当搅拌粘性液体及含有悬浮物的液体时,转速可维持在150~400r/min。推进式搅拌器能在较小的功率下得到高速转动,适用于搅拌低粘度的液体,制备乳浊液或搅拌固液比在50%以下的悬浮液。

(4)螺带式搅拌器 盐业上均用卧式结构,较广泛用于盐浆及芒硝回溶过程中的搅拌,转速一般为30~50r/min,长度从3m至9m不等。

对固体悬浮液,为保证颗粒全部离开桶底,搅拌器的最适宜转速应在“临界浮游速度Vo”以上,Vo按下列经验式计算:

式中 ρs——固体密度(kg/m3)

ρ——液体密度(kg/m3)

Ds——固体直径(m)

gc——重力加速度(9.81m/s2)

R′——固液重量比

μ——液体粘度(Pa·s)

d,Ψ——系数,d=1.4,Ψ=1~2.0。

此式是在有挡板的搅拌桶中,使用各种搅拌器,在不同的液体中,以砂和氯化钠试验得出。

2.搅拌器叶数、搅拌器层数及层间距的决定对一般搅拌器,最适宜的叶数为:桨式、二叶;推进式,三叶;涡轮式,四叶或六叶。在固体大量粘附又要经常清理的情况下,叶数宜较少,可用二叶式。

(1)推进式搅拌器的层数可参考表3-5-2。

表3-5-2 推进式搅拌器的层数

(2)涡轮式搅拌器的层数E按下式计算:

式中 ρ′——相对密度,无因次;搅拌二相物料时,ρ′为平均相对密度

H——静液面与桶底距离(m)

有人认为,如被搅拌液体的密度和粘度近似于水,涡轮式搅拌器搅拌所及范围约可达4D,并随粘度增加而减小;当粘度达50Pa·s时,可小至D。

若液体粘度较大,各项有关参数都已决定,搅拌器的需要功率(轴功率)也经计算得出,还可用以下方法复核。

(3)推进式或涡轮式搅拌器的搅拌理论有效圆周半径Ro为:

式中 Ro——搅拌理论有效圆周半径(m)

N′——搅拌器无挡板时的轴功率(kW)

μ——液体粘度(Pa·s)

图3-5-1为应用式(3-5-4)的计算结果。

图3-5-1 搅拌理论有效圆周半径

推进式和平直叶涡轮式搅拌器的实际搅拌所及范围为:

推进式搅拌器,径向半径 =0.2Ra (3-5-5)

轴向半径 =0.6Ra (3-5-6)

平直叶涡轮式搅拌器

径向半径 R′ak=0.5Ra (3-5-7)

轴向半径 R′av=0.2Ra (3-5-8)

表3-5-3可作为搅拌器选型时的参考。

表3-5-3 搅拌器型式选用表

(三)搅拌器附件的选用

机械搅拌器配用的附件为挡板及导流筒。

1.挡板

(1)壁挡板 在下列场合可考虑搅拌设备内加装壁挡板:

①需要较大的搅拌强度、剪切作用或容积循环速率;

②需要被搅拌的液体上下翻腾,达到混合均匀,又不出现旋涡;

③为严格控制流型,实验与生产上应用时的搅拌流型必须相同;使搅拌保持在湍流范围内,并使用挡板。

设备内加装挡板到一定程度,在已定的转速下,再增加附件而轴功率不变,称为符合“全挡板条件”,其要求为:

通常径向安装四块壁挡板,其宽度为搅拌桶直径的1/12~1/10,即能满足全挡板条件。当桶的直径很大或很小时,可以酌量增多或减少挡板数。

壁挡板的上部可与静液面相平,下部与桶底有一定距离,见图3-5-2(a)。在固液比与固液相对密度差都较大时,此距离也需稍大,以免淤塞。

在固液相操作或液体粘度达7~10Pa·s时,挡板与罐壁应留出相当于叶片宽度10~15%的间隙;但至少需25mm,最大不超过40mm,见图3-5-2(b)。为进一步避免固体堆积或粘滞液体生成死角,壁挡

板可沿流动方向倾斜放置,宽度“J”为其投影宽度,见图3-5-2(c)。

图3-5-2 壁挡板

(2)底挡板 在固液相操作中,当固体颗粒相对密度大而难于悬浮时,可采用底挡板,见图3-5-3,使搅拌桶中的液流到达罐底后,沿挡板导引的方向挟带固体从中央流向罐壁,然后飘浮起来,使罐底不致沉积固体。

图3-5-3 底挡板

图中挡板尺寸的比例说明

D/D0=1/2,B/D0=1/10,Z=4 BW/D0=1/10,BH/D0=1/20,R=4,C/D0=1/4,εB/D=1/2 BW-挡板 长度(mm) BH-挡板高度(mm) εB-挡板中心与罐中心的径向距离(mm)

2.导流筒 推进式、涡轮式搅拌器均可加装导流筒,以达到特定的搅拌要求。加装导流筒后,流型能严格控制(使液体在筒外向上、筒内向下循环流动,或按相反方向循环流动),混合效果可显着增强。与加装挡板不同的是流型各异,搅拌时流体中央仍有漩涡。

推进式搅拌器与导流筒之间的尺寸关系见图3-5-4。

图3-5-4 推进式搅拌器与导流筒的尺寸关系

D=(0.3~0.33)D0 D1=1.1D

H4=D C=1.2D H2≤0.5H1

H=0.75H0 H3=0.8D

涡轮式搅拌器与导流筒之间的大致参考尺寸关系如下:

(1)与导流筒的间隙0.05D0

(2)导流筒高度不少于0.25D0

(3)涡轮式搅拌器的导流筒内壁可以具有与搅拌叶同样多或更多的叶片。搅拌器可

以布置在导流筒下端。

推进式搅拌器加装导流筒在固、液相搅拌时,为防止桶底沉积,可降低C值,如取C=0.1D0

(四)搅拌器运转时轴功率的计算

有模拟放大法和直接计算法两种。前法较为实用,但需进行试验,并找出计算关联式,功率计算时一般不具备此条件,故制盐上极少采用。直接计算法所得结果与实际结果不尽相等,但在没有可作依据的实用数据时,是决定轴功率的唯一方法。现介绍如下。

1.单一液相搅拌需要的功率

表3-5-1中各类搅拌器在单一液相中搅拌时所需功率的计算方法,见表3-5-4。

表3-5-4 牛顿型单-液相搅拌所需功率计算

实际操作条件与表3-5-4不同时,可先按表3-5-4计算,再用以下方法换算。

(1)搅拌叶外径和液面高度的影响可用下式推定:

式中 标注*的,符合表3-5-4所列的值。

(2)搅拌叶外径和罐底距离的影响

①推进式搅拌器:

在全挡板条件下,C/D=1时需要功率最大。

无挡板条件下,对平底罐,C/D对功率的影响成反比例关系。旋涡达到搅拌叶片时,由于吸入气体,功率急剧下降。

②涡轮式搅拌器:

无挡板条件下,对平底罐、旋涡未到达搅拌叶之前,C/D=0.35~2.5范围内,对平直叶涡轮消耗的功率影响不大。

图3-5-5 雷诺准数NRe计算图

图3-5-6 各类搅拌NRe~Np(Ⅰ)

1-推进式,S/D=1,无挡板 2-推进式,S/D=1,全挡板 3-推进式,S/D=2,无挡板 4-推进式,S/D=2,全挡板 5-平直叶桨式 D/B=5/1,全挡板 6-圆盘平直叶涡轮式,全挡板 7-圆盘弯叶涡轮式,全挡板

图3-5-7 N计算图

图3-5-8 A的计算

连结任何两轴上的已知数与其他轴的交点即所求的未知数

图3-5-9 B′的计算图

连接任何两轴上的已知数与其他轴的交点即所求的未知数

图3-5-10 P的计算图

连接任何两轴上的已知数与其他轴的交点即所求的未知数

图3-5-11 各类搅拌NRe~Np(Ⅱ)

1-开启平直六叶涡轮式搅拌器B/D=1/5 2-开启平直六叶涡轮式搅拌器B/D=1/8 3-开启弯叶涡轮式搅拌器B/D=1/8 4-平启折叶六叶涡轮式搅拌器B/D=1/8

图3-5-12 开启折叶涡轮式搅拌器在无挡板条件下NRe~Np

在有挡板条件下,圆盘平直叶六叶式涡轮、开启平直叶六叶式涡轮及开启折叶六叶式涡轮,在=0.33和=0.6两种情况下,C/D与Np关系曲线示于图3-5-13。

图3-5-13 涡轮式搅拌器底距与需要功率的关系

(3)搅拌器叶片宽度及叶片数的影响用水在直径约Φ250mm的搅拌罐内,于全挡板条件下,对不同叶数的开启平直叶涡轮式在湍流区内作试验,所得的数据关系如下:

式中 g——系数,当Z=2时,g=1.23;Z=4时,g=1.15;Z==6,g=1如计入叶片数影响,则可归纳成下式

在进行估算时,可以认为,在无挡板湍流区范围内,桨式和开启涡轮式的叶片宽和叶片数都符合以下关系:

BZ=常数 (3-5-13)

式(3-5-13)的含义是:改变叶片数对功率的影响和相应改变叶片宽度的影响相同;例如叶片数增加一倍和叶片宽度增加一倍的影响是一样的。

在全挡板条件下,圆盘式涡轮搅拌器所需功率和叶片数有以下关系(当Z=2~6时)

(4)搅拌器层数和层间距的影响

①推进式搅拌器 在高雷诺准数区域中操作时,双层搅拌叶与单层的影响见图3-5-14。若操作向层流区接近,双层的功率趋近于单层的两倍。图3-5-14中,S′为搅拌器的层间距(m);N1为单层搅拌器需要的功率(kW),N2为双层搅拌器需要的功率(kW)。

图3-5-14 推进式搅拌器层间距对需要功率的影响

②桨式搅拌器 在层流区操作时,如层间距,且D/D0≤0.8,则双层的功率大约是单层的两倍;若D/D0>0.8,则功率会增加。在湍流区操作时,双层的功率与具有两倍宽度桨叶的单层功率相同。

③涡轮式搅拌器 图3-5-15所示为3种涡轮式搅拌器在全挡板条件下,B/D=1/3、θ=45°时,得到的S′/D与N2/N1的关联图(S′,N2,N1代表的意义同图3-5-14)。

图3-5-15 涡轮式搅拌器层间距对需要功率的影响

1-双层平直叶 2-平直叶和折叶组合 3-双层折叶

(5)搅拌设备内附件的影响 以无挡板条件下的功率N为基准,q代表附件影响系数,N′为有附件时的需要功率。

N′==N(1+εq) (3-5-15)

q值见表3-5-5。表中的q值只限液体粘度在0.1Pa·s下使用。

表3-5-5 罐内附件对需要功率的影响

2.非均相搅拌需要的功率 对非均相搅拌,应先算出平均物理常数,再和单一液相同样使用表3-5-4计算功率。

(1)对非均相的液-液搅拌

①平均密度 计算两相液体的平均密度

=Xρz+Yy (3-5-16)

式中 下标x及y为两相的标记,X及Y为所属两相的容积百分率。

②平均粘度 两相液体的粘度都较低时,平均粘度可用下式计算

(3-5-17)

式中 x、y及X、Y意义同式(3-5-16)。

(2)固-液相搅拌

①两相的平均密度 固液两相悬浮液的平均密度可用式(3-5-16)计算。

②两相的平均粘度 悬浮液的平均粘度由下式计算:

当x0≤1时,

i(1+2.5xv) (3-5-18)

当x0>1时,

i(1+4.5xv) (3-5-19)

式中 μi——液体粘度(Pa·s)

xi——固体颗粒与液体的体积比

采用作为搅拌介质的物性,可视为单一液相搅拌来计算;但当固体颗粒在200目(0.076mm)以上时,用这种算法得出的功率偏小。

3.驱动搅拌器的电动机功率

电动机功率N按式(3-5-20)确定。

式中 K——启动时的功率因数

N′——搅拌器所需的轴功率(kW)

NT——轴封摩擦损失(kW)

η——传动机构的效率

在多数情况下,上式中系数K=1。因一般异步电动机在启动时允许超载30%左右,而Y型电动机启动转矩与额定转矩之比可达2倍,另外由于所选电动机功率通常均圆整到比计算功率略大的标准数值,因而具有一定的功率储备量,启动时可补偿增加的消耗功率。当搅拌物料相对密度差很大,而且是很快分层的两相液体(固-液相或液-液相)时,K值可按下列数据选取:

推进式搅拌器

K≤1.3

桨式搅拌器

K≤2

多桨式、框式或涡轮式搅拌器

K≤2.5

NT值,对填料密封可按式(3-5-21)、对单端面机械密封可按式(3-5-22),进行近似计算。

NT=6.67d2hn (3-5-21)

NT=4.0d1.2 (3-5-22)

式中 d——搅拌轴轴径(m)

h——不计密封环时填料密封圈的总高度(m)

n——搅拌轴转速(r/min)

η的值按附录B选用。应注意,对额定功率的减速机,其效率随负荷减少而明显下降。因此当选用比实际负荷大得多的额定功率减速机时,其功率损失较大。

由于影响搅拌操作的因素十分复杂,功率的理论计算值与实际需要值之间常有一定差异。在设计搅拌器时,应参考工厂中类似工艺过程的搅拌器,加以适当的修正。表3-5-6为几个真空制盐厂中不同搅拌器运转电流实测(电压380V)结果。

表3-5-6 几种搅拌器功率消耗实测值

(五)制盐常用搅拌器的强度计算

1.搅拌器强度计算的设计功率 对型式、规格相同的搅拌器,每层的设计功率为:

N层=(ηN-NT)/E0 (3-5-23)

每个搅拌器单个叶片设计功率为:

N=N/Z (3-5-24)

2.叶片的强度计算 当选用标准搅拌器时,应按标准规定的允许强度选用。

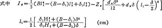
(1)直叶桨式搅拌器 这种搅拌器工作时的危险断面在桨叶根部Ⅰ-Ⅰ断面上(见图3-5-16)。其承受的弯矩为;

图3-5-16 钢制直叶双桨式搅拌器

MI=97400N/n (kgf·cm) (3-5-25)

式中 n——搅拌器转速,(r/min)

对无加强筋的桨叶,断面对Y-Y轴的抗弯断面模数为;

式中 B——搅拌叶宽度(cm)

对于单侧有加强筋的桨叶,

W′=Iy/l2 (3-5-27)

l2=H1-l1(cm)

l3==l1-δ(cm)

Ⅰ-Ⅰ断面上的弯曲应力应满足:

σ1=MI/W≤〔σ〕(MPa) (3-5-28)

或σ1=MI/W≤〔σ〕(MPa) (3-5-29)

(2)折叶桨式搅拌器 见表3-5-1。工作时危险断面在桨叶根部Ⅰ-Ⅰ断面上。Ⅰ-Ⅰ断面位置见图3-5-16。

式中 n——搅拌器转速(r/min)

对于无加强筋的折叶桨,其抗弯断面模数W按式(3-5-26)计算;对于单侧有加强筋的斜桨叶,其抗弯断面模数按式(3-5-27)计算。两式都考虑了螺栓孔对断面的削弱,若Ⅰ-Ⅰ断面上无螺栓孔时,则Zσ=0。

Ⅰ-Ⅰ断面上弯曲应力σ1应满足的条件按式(3-5-28)、(3-5-29)确定。

(3)直叶开启涡轮式搅拌器 工作时的危险断面在Ⅰ-Ⅰ断面上(见图3-5-17),该断面的弯矩MI计算见式(3-5-25)、Ⅰ-Ⅰ断面的抗弯断面系数W为:

图3-5-17 开启式涡轮搅拌简图

式中 B——搅拌叶宽度(cm)

Ⅰ-Ⅰ断面上弯曲应力σ1应满足:

σ1=MI/W≤〔σ〕 (3-5-32)

式中 〔σ〕——浆叶材料许用应力(MPa)

(4)折叶开启涡轮式搅拌器 工作时危险断面在Ⅰ-Ⅰ断面上(见图3-5-17)。

式中 n——搅拌机转速,(r/min)

Ⅰ-Ⅰ断面的W计算见式(3-5-31),σ1应满足的条件见式(3-5-32)。

(5)推进式搅拌器 一般都选用标准型,设计时按推进式搅拌器(HG5-222-65)标准规定的N′/n数值进行验算即可。

(6)桨叶材料的许用应力〔σ〕

〔σ〕=σb/nb (MPa) (3-5-34)

式中 σb——桨叶材料在设计温度下的抗拉强度,MPa

nb——安全系数,碳钢nb=3;不锈钢nb=3.5;铸铁nb=8;铸不锈钢nb=5

(六)搅拌器的平衡

对刚性轴搅拌器,转速不大于60r/min时,可不作静平衡试验;超过60r/min时,需作静平衡试验。平衡要求,用许用偏心距〔e〕表示,见式(3-5-35)。制盐上,搅拌转速较低(<500r/min),搅拌器桨叶投影宽度Bi与其直径D之比(Bi/D)较小(<0.7),故通常不进行动平衡试验。

式中 〔e〕——许用偏心距(mm)

G——平衡精度等级(mm/s),制盐上使用的只承受液柱压力的搅拌器,G=16mm/s

n——搅拌器转数(r/min)

平衡要求,用许用不平衡力矩M标注时:

〔M〕=〔e〕W (3-5-36)

式中 〔M〕——许用不平衡力矩(g-mm)

〔e〕——许用偏心距(mm)

W——搅拌器重量(g)

搅拌轴的同心度,尤其是两端简支及具有中轴承结构的搅拌轴,都影响搅拌器的平衡。因此,轴要校直,两端轴颈要一次装夹车削完成;采用无缝钢管作轴时,两端短轴要先焊接,再车削轴颈,否则将影响轴的同心度和搅拌器的平衡。

随便看

 

离鸟网收录3541549条中英文词条,其功能与新华字典、现代汉语词典、牛津高阶英汉词典等各类中英文词典类似,基本涵盖了全部常用中英文字词句的读音、释义及用法,是语言学习和写作的有利工具。

 

Copyright © 2004-2024 vtrois.com All Rights Reserved
更新时间:2026/4/8 8:07:05