网站首页  词典首页


请输入您要查询的字词:

 

字词 材料的填充率与空隙率
类别 中英文字词句释义及详细解析
释义

材料的填充率与空隙率


(一)材料的填充率

材料的填充率是指散粒材料在堆积体积中,被其颗粒填充的程度,按下式计算:

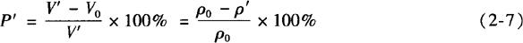
(二)材料的空隙率

材料的空隙率是指散粒材料在堆积体积中,颗粒之间的空隙体积占堆积体积的百分率,按下式计算:

填充率与空隙率的关系为:D′+P′=1。

空隙率的大小反映了散粒材料的颗粒互相填充的致密程度。空隙率可作为控制混凝土骨料级配与计算含砂率的依据。

随便看

 

离鸟网收录3541549条中英文词条,其功能与新华字典、现代汉语词典、牛津高阶英汉词典等各类中英文词典类似,基本涵盖了全部常用中英文字词句的读音、释义及用法,是语言学习和写作的有利工具。

 

Copyright © 2004-2024 vtrois.com All Rights Reserved
更新时间:2026/4/7 22:11:11