(一)材料的密实度
材料的密实度是指材料体积内被固体物质充实的程度,也就是固体体积占总体积的百分率,按下式计算:

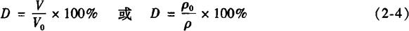
(二)材料的孔隙率
材料的孔隙率是指材料体积内,孔隙体积占总体积的百分率,按下式计算:

密实度与孔隙率均反映了材料的致密程度,孔隙率的大小及孔隙特征(包括孔隙大小、是否连通、分布情况等)对材料的性质影响很大。一般而言,同一种材料,孔隙率越小,连通孔隙越少,其强度越高,吸水性越小,抗渗性和抗冻性越好,但其导热性越大。几种常用材料的密度、表观密度、堆积密度和孔隙率见表2-1。
表2-1 常用建筑材料的密度.表观密度、堆积密度和孔隙率
