网站首页  词典首页


请输入您要查询的字词:

 

字词 构筑物工程
类别 中英文字词句释义及详细解析
释义

构筑物工程


①烟囱筒身 应按不同壁厚分段以实砌体计算,扣除孔洞及钢筋混凝土圈梁、过梁等体积。

筒身每段体积计算(见图2-48)

图2-48

式中 V-体积(m3);

h-段高;

D-下口中心线直径

c-壁高;

d-上口中心线

〔计算例〕 某砖烟囱一段为10米,壁厚0.365米,试计算这一段的体积。

②砖烟囱的钢筋混凝土圈梁 应按实体积计算。其工程量计算公式为:

V=l×A(m3)

式中 V-圈梁体积;

l-圈梁中心线圆周长;

A-圈梁截面。

③砖烟囱筒身勾缝 原浆勾缝已包括在定额内,不另计算。如设计规定加浆勾缝,其工程量按筒身外围面积计算。其计算公式为:

A=(R1+R2)πh(m2)

式中 A-勾缝面积;

R1-烟囱底外半径;

R2-烟囱上口外半径;

h-烟囱勾缝高度。

④烟囱内表面涂抹隔绝层 按筒身内壁的面积计算,并扣除孔洞面积。

隔绝层表面面积计算式:

式中 A-表面面积;

D-下口内直径;

d-上口内直径;

h-段高度。

〔计算例〕 烟囱表面涂隔绝层,段高10米,上口直径为2米,下口直径为2.5米,试计算这一段的表面积。

解:A=3.1416××10=70.69m2

⑤烟道砌体 以实砌体计算,如图2-49,其工程量计算式为:

图2-49

式中 C-烟道墙厚;

h-烟道墙高;

R-烟道拱半径;

l-烟道长:

V-烟道砌体。

烟道长度以炉体第一道闸门至烟囱外皮与烟道连接处计算。

⑥烟道内衬 不能与烟囱内衬混用,按用料分别项目,工程量按实体积计算(见图2-49)。

其工程量计算公式为:

式中 C-烟道墙厚;C1-内衬厚;

C2-隔热层厚;R-烟道拱半径;

h-烟道墙高;l-烟道长;

V-烟道内衬体积。

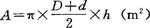
⑦烟囱散水 其工程量按图示尺寸以平方米计算(图2-50)。其计算式为:

图2-50

S=(R1+b)2π-R12π-b×B(m2)

式中 S-散水面积;

R1-烟囱底外半径;

b-散水宽;

B-烟道宽。

⑧水塔基础 其工程量按实体积计算,分别钢筋混凝土、砖、毛石基础等。水塔基础多为钢筋混凝土基础,呈环形台阶式,计算工程量时,应将多层圆环的体积相加(见图2-51)。每层圆环体积计算公式为:

图2-51

V=πh(R12-R22)(m3)

式中 V-圆环体积;R1-圆环外半径;R2-圆环内半径;h-圆环高。

⑨水塔筒身 水塔筒身与槽底的分界,以与槽底相连的圈梁为界。圈梁以上为槽底,以下为筒身。

a.钢筋混凝土筒式塔身 钢筋混凝土筒身以实体积计算,扣除门窗洞口体积,依附于筒身的过梁、雨篷、挑檐等工程量并入筒壁体积内计。

筒式筒身筒壁体积计算式:

V=(h×C×πD)-T+GL+YP+YB(m3)

式中 V-筒壁体积;

h-每段(同厚)筒身垂直高度;

C-每段(同厚)筒壁厚度;

D-每段筒身中心线直径;

GL-过梁体积;

YP-寸篷体积;

YB-挑檐体积。

b.柱式塔身 柱式塔身不分柱、梁和直柱、斜柱均以实体积合并计算。

柱式塔身的柱体积计算式:

V=(a×b×h)+L(m3)

式中 a×b-柱截面;h-柱高;L-梁体积。

c.砖筒身 砖筒身不分厚度、直径,均以实砌体积计算,并扣除门窗洞口和混凝土构件所占体积。砖碹及砖出檐等并入筒身体积内计算。

图2-52

砖筒身体积计算式:

V=(h×CπD)-T+Q+Y(m3)

式中 V-砖砌筒身体积;

h、C、D、T-同上式;

Q-砖碹体积;

Y-砖挑檐体积。

⑩塔顶及槽底 钢筋混凝土塔顶及槽底的工程量合并计算。

图2-53

锥形或球形塔顶及槽底的面积体积计算式:

锥形体积、面积计算式:

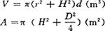
V=π·r·κ·d(m3)

A=π·r·κ(m2)

球形体积、面积计算式

式中 r-底面积半径;

k-圆锥斜长;

d-壁厚;球形矢高。

〔计算例1〕 水塔圆锥封顶厚度0.08米,已知底面半径4米,圆锥长5米,求圆锥封顶体积(如图2-54)。

图2-54

V=3.1416×4×5×0.08

=62.83×0.08=5.03m3

〔计算例2〕 水塔槽底为半球形已知矢高(H)为1米,直径(D)8米,求槽底抹灰面积(见图2-55)

图2-55

随便看

 

离鸟网收录3541549条中英文词条,其功能与新华字典、现代汉语词典、牛津高阶英汉词典等各类中英文词典类似,基本涵盖了全部常用中英文字词句的读音、释义及用法,是语言学习和写作的有利工具。

 

Copyright © 2004-2024 vtrois.com All Rights Reserved
更新时间:2026/4/8 20:24:10