网站首页  词典首页


请输入您要查询的字词:

 

字词 果树叶样的采集和处理
类别 中英文字词句释义及详细解析
释义

果树叶样的采集和处理


叶分析的结果能否用于果树营养诊断,在很大程度上取决于样品的采集和处理技术。因为取样时间、部位、数量以及样品处理方法都会显着地影响叶子中营养元素的含量。因此,只有准确地测定结果,才能得出正确的诊断结论,为合理施肥提供科学的依据。

1.样品的采集

(1)样品的代表性 营养诊断的目的是希望通过对果树叶片样品的分析,获得大量有效数据之后,来了解或推断整个果园或某个采样区的树体营养状况。因此,采集的样品对整个果园或某一采样区必须具有代表性。

样品的代表性,与控制采样误差直接相关。从理论上讲,在一个采样区分布的采样点愈多,每个样点的株数愈多,样品的代表性就愈大。在一般情况下,采样区布点的多少和每个点选定株数的多少,取决于果园面积的大小、考察对象的复杂程度和试验要求的精密度等因素。果园面积愈大、对象愈复杂,则采样点数和每点株数都应增加。在理想的情况下,应该使采样点数和每点株数最少,而样品的代表性又是最大,使有限的人力、物力得到最高的工作效率。

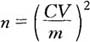
在同一采样区内,样点之间、样株之间仍然存在差异。为使样品能充分代表各植株的营养状况,必须多株采样。首先要保证有足够的样点数,每点有足够的株数,使之能代表采样区植株的营养状况,其次是要求采样误差控制到与室内分析所允许的误差较为接近。根据这两个要求,采样点数或每点采集株数,可根据其变异系数和要求的精密度,按下式算出来。

式中:n——应布的采样点数或每点应采的株数;

CV——变异系数(%);

m——试验所允许的量大误差(%)。

在一般情况下,室内分析允许误差一般不超过5%。如果试验所允许的最大误差不超过5%,假设株间的变异系数为20%,于是每个采样点应采的株数n为:

n=(20/5)2=16株

就是说在这个采样点上,需要从16株树上采样组成一个样品,才能满足上述要求。

(2)采样方法

①样株的选择。确定了每个采样点的株数后,还必须进一步选定株样。定株的原则是做到尽量均匀和随机。均匀分布可起到控制整个采样点的作用;随机定株则可避免出现误差的影响。据此,定株以锯齿形(Z形)或对角线为好。如设有小区重复,宜用Z形取样法,每采样区各重复采5株;如不设重复,宜用对角线取样,每采样区25~50株。若以直线或梅花形定株,则常常易造成系统误差(图3-2)。由于耕作、施肥等农业技术措施往往是顺着某一方向进行的,如果采样的方向与农业操作的方向一致,则样株落在同一条件的可能性很大,这样就容易使采样的代表性降低。

图3-2 采样定株的分布

1.正确 2、3.不适当 ×.定株位置

为了某一特定目的(例如缺素和毒害症状诊断)而采样时,则应注意样株的典型性,并应同时选择附近有对比意义的典型正常植株作为对照,使分析结果能在可比的情况下说明问题。为此,选定的两组样株的采样部位和生育期必须相同。否则,比较分析就会失去作用。

②采样部位。样株选定后,还要决定采样部位。研究证明,叶片组织中营养元素的浓度受枝梢类别、树冠位置等因素的影响。

许多试验证明,在春梢叶龄相同的情况下,营养枝和结果枝叶片中元素含量有明显差异。从实际应用来看,采用营养性春梢中部的叶子为宜。

表3-2 主要树种叶分析的取样方法

叶片在树冠上的位置不同,对其元素浓度的影响不甚稳定。因此,在采样时,枝梢种类和叶片在树冠上的位置应统一。通常是从树冠周围的目视高度(1.5~1.7米),在东南西北各个方向上,选择发育中庸的营养性春梢,由顶端向下取第二至第三叶一片(带叶柄)。在25~50株树上采100~200片叶作为样品。

对于缺素引起的果实生理病害的研究,也可根据病情发生的时期采取果实样品,一般取树冠外围中部的果实或有病症的果实。

③采样时期。果树叶片中营养元素的浓度随采样时期和叶龄而有显着的变化。所以进行果树营养诊断时,决定采样时期是特别重要的。研究证明,通常选择叶片元素含量的稳定期采集叶片进行分析较为适宜,亦即新梢停止生长,叶片矿质成分含量变动小为适期。采样适期因树种、品种、气候条件等而异。以往大多数学者认定柑橘叶片分析采叶期定为春梢叶片4~7月龄。据此,我国柑橘产区营养诊断的采叶期以8~9月为宜。对于苹果、梨、杏、桃等果树的采样时期,我国北方大致为盛花后8~12周(7~8月)或结果树顶芽形成后2~4周,取新梢中部叶子。

采样时间亦应一致。叶片元素含量在一天中略有变化,一日之中以上午8~10时采叶为宜。因此时树体的生理活动已趋活跃,地下部的根系吸收速率与地上部趋于上升的光合作用强度接近动态平衡。此时树体组织中的养分贮量最能反映根系养分吸收与树体同化需要的相对关系,因此最具有营养诊断意义。

2.样品的制备

(1)新鲜叶片的处理 采集到的新鲜叶片,要按田间编号、样品号、样品名称、取样日期、部位、取样地点、树的健壮情况、取样人等填写标签和田间采样考察表。新鲜树叶可用尼龙纱袋或纱布袋装盛,必须速速从田间携回试验室立即处理。若不能及时处理,可换上塑料袋,放在-5℃的冰箱里冷藏直至洗涤,这样可保持叶片新鲜,养分不致被淋洗掉。

(2)叶片的洗涤 由于叶子表面有土,尘埃、农药、肥料等污染物,会影响分析结果。因此,必须将这些杂质去除。对柑橘叶片洗涤的效果列表3-3。由表可知,洗涤与否对常量元素的分析影响不大,但对微量元素,特别是锌、锰、铁、铜的影响极大。

表3-3 洗涤对柑橘叶片中养分浓度的影响

洗涤的方法是先将中性洗涤剂配成0.1%的水溶液,再将叶片置于其中洗涤30秒,取出后尽快地用清水冲掉洗涤剂,再用0.2%盐酸溶液洗涤30秒,然后用去离子水洗净(或用蒸馏水,再用去离子水)。整个操作必须速速(总清洗时间勿超过2分钟),以尽量避免某些养分的损失。

(3)叶片的烘干 洗净的叶子先用滤纸或纱布将水吸干,为了减少化学变化和生化反应,尽快放入105℃的鼓风干燥箱中烘20分钟,然后再在65℃下烘干。如果取样地点没有烘箱时,也可将样品放在干燥空气流通处晾干,不要曝晒,这样干燥的样品,虽然由于呼吸作用,化学成分会有少许变化,但以营养诊断为目的,其影响不大,但不要放在潮湿的地方以免发霉。

果实和叶子同法洗涤,若果皮、果肉分别测定,则要用不锈钢刀将果皮薄薄削下,果皮全部留作分析。果肉可取纵横剖面各一片作为样品;果实样品只能在60~65℃的烘箱中烘干,否则很易霉烂或温度过高而烘焦。

(4)叶片的粉碎 初步干燥的叶子,在磨碎前重新放在70~80℃烘箱中,烘干至脆(果实只能在65℃下烘干),取出,放在干燥器中。冷却后,将样品放在干净的塑料袋中用手在外面轻轻搓碎。然后在玛瑙研钵中研细,或者用玛瑙球磨机或不锈钢粉碎机磨细。若进行常量元素的分析,可使用瓷研钵或一般植物粉碎机。但对于微量元素分析,应特别注意磨具的污染。铜、铁、锌来自干燥器、粉碎机、筛别用的筛子等的污染是众所周知的。所以最好用玛瑙磨具,其次是瓷制磨具。

(5)样品的贮存 干燥磨细的样品,混合均匀后放在灭菌密闭的塑料瓶子里贮存,或贮存于-5℃的冰箱里,则可永久保存而不变质。美国国立标准局贮存的标准植物样品是用γ-射线灭菌后贮于密闭的聚乙烯袋中。我国制备的果树标准叶样,是装入塑料瓶内置于85℃烘箱干燥12小时,封盖后用钴60-γ-射线4.9×10-5戈瑞照射后,在室温下(10~30℃)封存于暗处。

贮存样品时,要特别注意霉变、虫害、鼠害。因放在塑料袋或塑料瓶中的样品,最易遭受老鼠的损害。

在分析称样前,要把样品再次混匀,装在称量瓶里,在70~80℃下烘干8小时(果实在65℃下)取出,放在干燥器中冷却后再称样。

3.样品的灰化 在进行元素分析之前,需将样品制备成溶液。常用的方法有干灰化和湿灰化两种。

干灰化法的优点是操作简便,制备溶液过程中的污染机率较少。硼和钼以干灰化为好。四苯硼钠法测定钾时也以干灰化最佳。

干灰化的温度不宜超过500℃,时间不易过长。用高型坩埚以扁型容器要好。若温度过高,有的元素如钾、硼会挥发损失,有的元素如铜、锰、锌会形成不溶于酸的硅酸盐。

湿灰化的优点是不受容器限制,一次可消化较多的样品,金属元素不易损失,所需时间较短。缺点是消化过程中易受来自器皿、仪器及所加试剂含有的杂质等污染。特别是所用酸或碱不纯而用量大时,污染几率就高,对微量元素分析十分不利。

为了节约时间,提高灰化效率,应因地制宜地选择最佳方法,即在同一待测液中可测定更多的元素。例如用H2SO4-H2O2湿灰化法制备待测液以测定常量元素氮、磷、钾、钙、镁等。采用HNO3-HClO4湿灰化法,用原子吸收分光光度计法可同时测定铜、锌、铁、锰等多种微量元素。

(1)样品的湿灰化法

①H2SO4-H2O2消化法。称取样品0.5000克,置于50毫升硬质试管中,先用少量水冲洗黏附在管壁上的样品,然后加入5毫升浓硫酸(H2SO4),轻轻摇匀,固塞,放置过夜。将试管置于铁丝网支架上,去塞后换上小漏斗,放在电炉上先小火加温消煮(或直接放在多孔消煮炉上),待硫酸冒白烟后再升温,当溶液呈均匀的棕黑色时取下冷却,用滴管加入30%双氧水6滴(注意:加双氧水要直接滴入管底液中,不可沾到管壁上,以免残存的双氧水影响磷的测定)。混匀后加热至微沸,消煮数分钟,取下稍冷后重复再加双氧水,如此重复3~5次,每次添加的双氧水应逐次减少,消煮到溶液呈无色后再加热约10分钟,以除去残存的双氧水。取下冷却后,将消煮液通过一漏斗定量转移于100毫升容量瓶中,用去离子水漂洗试管多次,洗液并入容量瓶中,最后定容摇匀。记为待测液A,可供测定氮磷钾之用。从A液中准确吸取5毫升于100毫升容量瓶中,加去离子水定容摇匀,记为待测液B,可供测钙、镁之用。

消化法。准确称取样品2.0000克置于100高型烧杯(或100毫升三角瓶)中,加入硝酸15毫升,用玻璃棒搅匀,盖上表面皿,在通橱中放置过夜。然后置于电热板上微微加热,待激烈反应平息后,取下冷却,再加入10毫升硝酸及2毫升过氯酸,在180~200℃下继续加热分解,当溶液变为无色或非常透明时,再取下冷却,用去离子水漂洗表面皿,洗液并入烧杯内,继续在电热板上微火加热至近干(此时若有残存的碳化物出现,则需加少量硝酸和过氯酸使之分解)。加入6N盐酸5毫升溶解残渣,必要时再加少量去离子水,盖上表面皿在电热板上加热溶解,将表面皿和烧杯内容物漂洗转移入50毫升容量瓶,定容摇匀。此待测液记为C,可供测定磷、钾、钙、镁、铁、锰、锌、铜等之用。

在制备待测液A、B、C时,需同时做2~3个空白。

(2)样品的干灰化 称取样品2.0000克,置于高型石英坩埚或瓷坩埚内,在电热板上先预灰化,升温至300℃左右,预处理30~60分钟。待样品大部分碳化后移入高温电炉,炉温250~300℃,用三角架支架石英坩埚或瓷皿,以防底部过热。每小时使高炉电炉升温50℃,直到500℃为止。并在此温度下保持4小时。灰化完全的样品应是灰白色到浅灰色,粗松,烧结在一起并没有熔融现象。在灰化过程中不应当破坏上述结构,以免发生损失。取出冷却后加入6N盐酸5毫升,置热水浴上使之溶解,并转移于50毫升容量瓶中,用去离子水定容摇匀。如有不溶性硅酸盐存在时,则过滤除去之。此液记为待测液D,可供测定钾、钙、镁、锰、锌、铜、硼、钼之用。

(3)1N盐酸浸提法 准确称取样品1.0000克,置于100ml塑料瓶中,加入1NHCl50ml加塞,置于振荡机上振摇1.5小时,过滤。滤液供原子吸收分光光度计法同时测定可溶态钾、钠、钙、镁、铜、锌、锰、铁等元素。

此法在国际上广泛应用,其优点是快速简便,免去繁琐的样品灰化手续。

随便看

 

离鸟网收录3541549条中英文词条,其功能与新华字典、现代汉语词典、牛津高阶英汉词典等各类中英文词典类似,基本涵盖了全部常用中英文字词句的读音、释义及用法,是语言学习和写作的有利工具。

 

Copyright © 2004-2024 vtrois.com All Rights Reserved
更新时间:2026/4/8 6:51:08