网站首页  词典首页


请输入您要查询的字词:

 

字词 果肉饮料
类别 中英文字词句释义及详细解析
释义

果肉饮料


(一)果肉型饮料及其种类

果肉饮料系指在果浆或浓缩果浆中加入水、糖液、酸味剂等调制而成,成品中果浆不低于300g/L的制品。

目前,果肉型饮料可分为以下3种类型,都是以破碎并除去粗大固形物的果蔬浆为原料的。一般果肉型饮料的果浆含量20%~25%,不溶性固形物含量19%以上。

(1)果蔬浆经调味后直接饮用的果肉型饮料例如番茄汁,不经稀释,一般加入食盐等调味料,可直接饮用。如果稀释不仅风味变差,而且黏度降低,容易引起浆汁分离。

(2)果蔬浆用糖浆、酸味剂等调配而成的可直接饮用的果肉型饮料其中的果浆含量必须符合标准规定,这种饮料在日本称果肉饮料,美国称耐渴特(Nectar)。在欧洲将果汁含量高、黏度大的饮料称为耐渴特。而低于规定浆量的饮料视同果汁型饮料,没有特别的名称。曾风靡我国北方的以山楂和胡萝卜为原料制成的果茶是典型的这一类型的饮料。

(3)果蔬浆用糖、酸味剂等调配而成的,需稀释2~3倍后饮用的果肉型饮料 这种饮料又称为果肉型饮料基料(Nectar base)。

属于(1)的全果柑橘饮料,美国称柑橘泥(Citrus puree),英国称全橘汁果肉饮料(Comminuted citrus extract)。采用冷冻保藏,根据需要稀释饮用。全果型水果饮料含有果皮肉,可以增强饮料芳香,增加新鲜感,但这种饮料易氧化,产生不快臭气,在冷冻条件下较稳定,因此一般均冷冻贮藏。

(二)主要果肉饮料产品与规格

主要果肉饮料产品与规格参见表2-1-96。

表2-1-96 果肉型饮料标准(JAS)

(三)生产技术

果肉型饮料是黏稠状的悬浮物,果浆的微小颗粒悬浮在有胶质的果汁中,果肉型饮料的稳定性一是通过均质,减小果浆微粒半径,改变微粒的粒径分布;二是通过调整果蔬汁糖度,缩小微粒与分散相汁液的密度差;三是用增稠剂提高产品的黏稠度实现的。但就目前果肉型饮料的生产情况来说,尽管从工艺上作了种种努力,试验寻求合适的增稠剂,但果肉型饮料的分层现象始终存在,沉淀或多或少迟早总会发生,以致绝大多数生产玻璃瓶装果茶的厂家,专门设计适合从瓶颈向下紧包瓶身的商标,甚至还用锡箔将瓶盖和瓶颈包严,既增加包装的美观,又掩盖了果茶的分层。

果粒果汁型饮料也有类似果肉型饮料的情况,悬浮状态破坏,砂囊下沉。

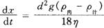
对于果肉型饮料和果粒果汁型饮料来说,分层是由于重力沉降作用引起的。根据悬浮液动力学的研究,果肉颗粒在重力场中受到其重力(mg)、浮力(F)和下沉运动中与运动方向相反的Stokes阻力(Fs)三种作用力的合力作用。当果肉颗粒mg>F+Fs时,颗粒就会沉降,时间一久,就出现液汁在上,果粒或果肉颗粒在下的分层现象。果肉微粒在瓶内的运动速度可以用下面公式表示:

式中 ——果肉颗粒的运动速度,cm/s

g——重力加速度,980cm/s2

d——果肉颗粒直径,cm

ρ——果肉密度,mg/cm3

ρ——汁液密度,mg/cm3

η——汁液的动力黏度,0.1Pa·s

由以上公式可知,当时,果肉颗粒处于运动状态,果肉颗粒直径越小,分散相与分散介质密度相差越小,介质的黏度越大,悬浮液就越稳定。由此可见通过均质使颗粒微细化,用糖液提高果汁相的黏度以及添加增稠剂是提高果肉型饮料悬浮稳定性的必要而可行的重要措施。

分层机理比较复杂,例如电解质是极好的分层剂,其效率主要靠正离子的电荷,表明这与双电层有关。

仔细观察分层现象,实际上分层时悬浮液并未真正破坏,只是分为两个悬浮液,在一层中分散相(汁液)比原来的多,而在另一层中情况则相反,沉聚的果肉微粒较多。从理论上说,改变生产技术和配方,可以将分层速度降到无足轻重的地步。

必须指出,分层和沉淀并不表明饮料败坏,对果肉型和果粒果汁型饮料来说,主要是果肉微粒与汁液存在密度差,由于重力沉降作用引起的,表现的是饮料外观状态。在饮用时稍加摇动,沉淀和分层便被破坏,重新恢复悬浮或浑浊状态,实际饮用的效果并无两样。因此目前这两类饮料的产品出现两种类型。一种是除均质等工艺措施外,添加增稠剂,尽力保持果肉颗粒的悬浮稳定性,这样制作的结果,饮料很黏稠,有损口感,饮用后甚至给人以饱食感。果肉型饮料即使使用较多的增稠剂,到头来往往还会多少出现分层现象。另一种做法干脆就生产分层的果肉型饮料,虽然外观看起来不雅,但饮用起来,口感反而比使用增稠剂的饮料好。

随便看

 

离鸟网收录3541549条中英文词条,其功能与新华字典、现代汉语词典、牛津高阶英汉词典等各类中英文词典类似,基本涵盖了全部常用中英文字词句的读音、释义及用法,是语言学习和写作的有利工具。

 

Copyright © 2004-2024 vtrois.com All Rights Reserved
更新时间:2026/4/7 18:11:42