网站首页  词典首页


请输入您要查询的字词:

 

字词 果蔬汁饮料生产的基本工序
类别 中英文字词句释义及详细解析
释义

果蔬汁饮料生产的基本工序


(一)调配

1.原料的调配与调配顺序

通过调配,主要调整饮料的糖酸比,突出果蔬汁饮料的新鲜感和清凉感,并充分体现果蔬汁的原有特色。

果蔬汁饮料的原料主要有水、果蔬原料(包括原汁或浓缩汁、果蔬浆)和食品添加剂等。水必须符合饮料用水标准。果汁型饮料的原料用果蔬汁或浓缩汁。果肉型果蔬汁所用原料是经过破碎、打浆、磨细等微粒化处理,浆料颗粒细度在50μm以下,内含一定量不溶性固形物的黏稠性果蔬浆料。果蔬汁饮料使用的食品添加剂有甜味剂、酸味剂、增稠剂以及着色剂和香料等。

为了适应消费者的嗜好,果蔬汁饮料需要保持一定的糖酸比。一般果蔬汁饮料的可溶性固形物为12%~15%,总酸0.3%~0.6%。果汁型饮料糖酸比一般20~25,果肉型饮料和果汁清凉饮料糖酸比30左右。因此,需要根据原料汁或浆的糖度和酸度、汁浆的用量,用砂糖和食用酸(主要是柠檬酸)对所配饮料的糖酸含量,即糖酸比进行调整。当然对于低糖或低热的饮料,糖酸比应作别论。原料汁稀释后色泽太浅时还需用食用着色剂来调色。果肉型饮料还要添加增稠剂和稳定剂,防止肉汁分层现象的发生。

在配料前先制备好糖浆,将砂糖溶化并过滤,制成一定浓度的糖浆。

配料一般分批进行,根据灌装机生产能力,一次配料500~2000kg。根据每批配料量,按照配方规定的不同品种原料的配比,计算果蔬汁(或浆)的用量。

其次是调整糖酸比,将所用的各种果蔬汁或浆料放入调配罐搅拌混合,根据测定的混合汁浆的可溶性固形物含量、汁浆用量、产品饮料的可溶性固形物含量以及配料量,计算砂糖用量,并按制备的糖浆浓度,算出糖浆用量。计量后将所用糖浆放入调配罐中,加水至每批配料的规定量,进一步搅拌混合。测定调配罐内饮料的酸度,计算需要补充的柠檬酸用量,将酸配制成酸溶液加入调配罐中。

最后加入增稠剂、稳定剂,并根据需要加入微量着色剂、香精等,充分搅拌后均质。有时在均质前还需过滤。调配罐内调配好的饮料温度在进行均质前一般为60~70℃。

为了使各批次饮料产品的色泽等感官指标和主要理化指标一致化,必须严格配方制度,提高配方的科学性,注意产品风味,严格生产管理和卫生管理,以提高产品质量,保持产品的一致性,进而形成优质产品,创出名牌。

2.糖浆制备

在配料以前先要配制糖浆。制备糖浆的目的是为了获得一种调和均匀、加工完美的糖浆,以能生产出品质一致的果蔬汁饮料。

糖浆制备包括溶糖和过滤两个过程。溶糖的方法有冷溶法和热溶法。

冷溶法溶糖可使用内装搅拌器的不锈钢桶。制备过程很简单,仅需将糖量和水量配准,在室温下进行搅拌,待完全溶化后去除杂质,就可得到有一定浓度的糖浆液。糖浆浓度一般为40%~60%。由于冷溶法溶糖没有加热杀菌过程,因此对卫生管理要求特别严格,从糖浆到灌装的整个过程,必须保持清洁卫生,而且冷溶糖浆必须当天用完。如果生产中断存放时间长时,可以预先配成60%~65%的高浓糖浆,也可在糖浆中加酸,降低pH,以提高其贮存性。冷溶法无需加热设备,可以节省蒸汽消耗。

热溶法需要化糖锅,可以用不锈钢夹层锅,大量生产时用专用化糖锅。还可用板式换热器与糖浆贮罐。水和糖计量后在贮罐内混合,贮罐本身没有加热结构,由换热器加热。化糖时根据制备的糖浆浓度和砂糖量算出化糖水的量,考虑化糖时的加热蒸发,水量可适当多加一些。化糖时可先将水放入化糖锅内,加热至60~80℃时,再加入糖,继续加热至沸,同时不断搅拌。在化糖过程中,表面会有凝固杂物浮出,在人工化糖时可以用漏勺撇去。为了获得澄清的糖浆,还可在化糖时加入食用蛋白粉,用量为100kg糖加4g,在糖完全溶化后加入,并随糖浆煮沸,这时蛋白凝固,并与糖浆内的混合物一起浮到糖浆表面,成为泡沫状,可用漏勺或网筛去除,糖浆澄清后再行过滤。

用加热法溶糖时,应不断进行搅拌,防止糖浆过热产生焦糖。糖浆浓度一般以50%~60%为宜。

生产果汁饮料,由于调配好的果汁经高温瞬间杀菌后直接灌装,故糖浆制备时不必煮沸,达80℃就可保证安全。如果化糖时在80℃以上保持十几分钟进行杀菌,更为安全。

热溶法制备糖浆的优点有:①能杀灭糖所带的细菌;②可分离、凝固糖中的杂质;③化糖速度快。

配制的糖浆,需要测定浓度,以便在配料时能准确计算糖浆用量。测定糖度可用比重计、波美表、糖度表,最简便和最常用的是手持糖度计(折光计)。

糖含量用白利糖度(°Bx)表示,亦即质量分数。例如50°Bx(50%)的糖浆表示100g糖浆中含糖50g。50°Bx糖浆20℃时的相对密度为1.232,因此100mL50°Bx糖浆的质量为123.2g,就是说100mL50°Bx的糖浆中糖的质量为61.6g。

蔗糖结晶的比体积(20℃)为0.63L/kg,每kg蔗糖所具有的真实体积为0.63L,而且在相同温度下,在糖浆中也有同样的体积。例如2kg50°Bx的糖浆,含有1kg糖和1kg水,其体积为V=1+0.63=1.63(L),因此,50%的糖浆相对密度为2/1.63=1.23。

为了明确糖浆体积和糖量与水量之间的关系,同时也为了方便生产时的计算,在此举例说明如下:

例1 制备糖浆时的水量计算

制备55.6°Bx的糖浆,60kg糖需用多少水?

设x为所需要的水量。

糖与水的质量比为55.6∶44.4=60∶x

即需47.91kg或47.91L的水。

例2 制备糖浆需要的糖与水的量

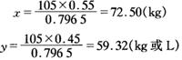
制备105L的55°Bx糖浆,糖与水的用量各多少?

1kg55°Bx糖浆含糖0.55kg,糖体积为0.55×0.63=0.3465L

1kg55°Bx的糖浆中水的体积0.45L,糖浆体积0.7965L。

设糖量为x,水量为y

则 0.7965∶105=0.55∶x

0.7965∶105=0.45∶y

也可从有关表中查出与白利糖度相对应的相对密度,得知55°Bx的糖浆相对密度为1.2601,105L糖浆的量是105×1.2601=132.31kg。

则糖量x=132.31×0.55=72.71(kg)

水量y=132.31×0.45=59.54(kg)

例1与例2的结果基本一致。

例3 从已知浓度的浓糖浆配制一定体积的稀糖浆。

用59.3%的糖浆配制100L55.2%的糖浆,需要多少升59.3%的糖浆?

查表或计算,得知59.3%糖浆的相对密度为1.2846,55.2%糖浆的相对密度为1.2609。

设:x为所需59.3%糖浆的量。

列出等式:

1.2609×0.552×100=1.2846×0.593×x

在此糖浆中加水8.6L即可。

例4 已知稀糖浆浓度、体积,欲提高浓度,求加糖量

要求将100L55.2%的糖浆配制成59.3%的糖浆,需用多少糖?

按上题55.2%的糖浆的相对密度为1.2609,59.3%糖浆的相对密度为1.2846

设:x为所需用糖量

1.2609×0.552×100+x=1.2846×0.593(100+0.63x)

x=12.6(kg)

需要12.6kg糖,最终的糖浆体积为100+0.63×12.6=107.9(L)

制备好的糖浆必须经过严格的过滤。过滤方法有人工过滤法和机械过滤法。人工过滤可用滤布,也可用锥形厚绒布滤袋,内加纸浆滤层,操作简单但过滤速度极慢。大规模生产均用机械过滤,有双联过滤器、蜂房过滤器和板框压滤机等。板框压滤机可使用纸浆或硅藻土作助滤剂,以获得澄清透明的糖浆。

质量较差的砂糖,往往会使饮料产生絮凝物、沉淀物或产生异味。有时还在灌装时会出现大量泡沫,因此用较差砂糖制备的糖浆必须用活性炭净化处理。具体做法是:将糖用活性炭加入热糖浆中,加入时不断搅拌。活性炭用量需根据糖和活性炭的质量决定,一般用量为糖浆量的0.5%~1.0%。活性炭与糖浆接触15min,温度保持80℃。然后用板框压滤机过滤。为了避免活性炭堵塞过滤器,一般用硅藻土作助滤剂,硅藻土用量为糖浆量的0.1%左右。过滤时活性炭和硅藻土吸附在过滤面层,滤出的糖浆以纯净透明为度。

3.糖度(可溶性固形物)的测定和调整方法

用糖度计测定原料汁的糖度(可不进行温度的修正),并根据此糖度和所用原料汁的比例,由配料量计算原料汁的用量。

不同品种的果蔬原汁,其可溶性固形物含量是不同的。同一品种果蔬原汁的可溶性固形物含量也是变化的,例如苹果原汁浓度一般在8~12°Bx范围内变动。有些果蔬原料,例如山楂、酸枣和某些干果不能直接用压榨法取汁,要用浸提法获得浸汁,其原始可溶性固形物含量取决于加水量和浸提次数。另一方面,果蔬浓缩汁的浓度也是不同的,例如浓缩果蔬清汁的浓度可达70°Bx以上,而浓缩果蔬浑汁的浓度一般仅有40~50°Bx。鉴于以上情况,为了方便配料,可以按照原料汁的糖度以及成品饮料中所含原料汁的比例,计算原料汁的用量。例如用6°Bx原料汁进行调配时,原料汁在成品饮料中的比例分别为10、20、30、40、50、60、70、80、85(%)时,饮料中由果蔬汁本身体现出的折光糖度就分别为0.6、1.2、1.8、2.4、3.0、3.6、4.2、4.8、5.1(°Bx),这时每吨饮料的原料汁用量分别为100、200、300、400、500、600、700、800、850。当用10°Bx或其他浓度的果蔬汁作为原料时,可用同样方法计算原料汁在饮料中的折光糖度,由此计算原料汁的用量。为了方便生产中的配料计算,同时为了避免计算误差,将配料时需用的原料汁和砂糖用量列成表2-1-84和表2-1-85,供参考。果蔬原汁、浸汁和浓缩汁可用同一种方法进行计算。与果汁饮料要求的糖度相比,不足的糖度要求用砂糖补足。具体配料时,可根据成品饮料(每批配料)的重量,按照配方要求的饮料中原料汁浆的折光糖度(或原果汁的含量),计算原料汁浆的用量,再根据成品饮料的折光糖度计算所需的砂糖量。根据砂糖用量,可进一步求出某一浓度的糖浆量,用糖浆计量配料。将原料果蔬汁加入一定量的水中,搅拌均匀,加入配制好的糖浆,最后用水定量至成品饮料量。

表2-1-84 每吨果蔬汁饮料的原料汁用量表

表2-1-85 每吨果汁饮料的砂糖用量表

配料时浓缩果汁和糖的用量也可用以下公式计算:

浓缩果蔬汁需用量 mA=mWB2/B1

加糖量 mC=(B-B2)mW

式中 mA-—浓缩果蔬汁用量,kg

mW——成品饮料(配料)质量,kg

mC——砂糖用量,kg

B——成品果蔬汁饮料的折光糖度,%

B1——原料汁的折光糖度,%

B2——原料汁折算在饮料中的折光糖度,%

例 以70°Bx的浓缩苹果清汁为原料生产原果汁含量42%的苹果汁饮料,成品饮料的折光糖度为14°Bx,问每吨苹果汁饮料需多少苹果浓缩汁?又需用多少砂糖?

解:假设苹果汁的折光糖度为10°Bx,现要求饮料中的原果汁含量42%,因此苹果汁在饮料中的折光糖度应为4.2°Bx。将mW=1000kg,B1=70%,B2=4.2%,B=14%代入相应公式得:

浓缩苹果汁用量:mA=mWB2/B1=1000×4.2/70=60(kg)

砂糖用量:mC=(B-B2)mW=(14-4.2)×1000/400=98(kg)

根据以上已知数据,由表2-1-84和表2-1-85查得的浓缩苹果汁和砂糖的用量分别为60kg和98kg,与以上结果是一样的。

4.含酸量的测定和调整

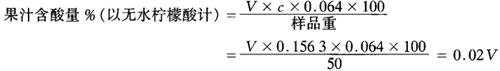
取经调整糖度后的果蔬汁,测定其含酸量。为使生产简便和迅速,可采用感量1/10g的受皿天平,称取待测定的果蔬汁50g于200mL锥形瓶内,加入1%酚酞指示剂数滴,然后以0.1563mol/L氢氧化钠标准溶液滴定至终点,按下式计算。

式中 V——滴定耗用氢氧化钠标准溶液体积,mL

c——氢氧化钠标准溶液浓度,mol/L

0.064——柠檬酸系数

根据配料果蔬汁的原有含酸量,按下式计算每批果蔬汁饮料调整到规定酸度应补加的柠檬酸量:

式中 m——需添加的柠檬酸液量,kg

mW——果蔬汁饮料的质量(每次配料量),kg

Z——要求调整的果蔬汁饮料的酸度,%

X——调整前配料汁的含酸量,%

Y——柠檬酸液的浓度,%

也可将不同含酸量的配料汁计算列表,供生产时查阅(表2-1-86)。

表2-1-86 每吨果蔬汁饮料含酸量调整表

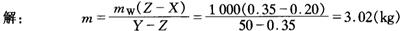
例 现有调整好糖度的山楂汁饮料1000kg,经测定其酸度为0.20%,要求调整的成品汁的酸度为0.35%,问需添加50%的柠檬酸液多少千克?

由表2-1-86查得m=3.02与计算结果完全一样。

实际需要柠檬酸1.51kg,将此量的柠檬酸配制成50%的柠檬酸液,过滤后加入山楂汁中。

5.其他配料

果蔬汁饮料经过糖、酸的调整后,有时还需根据要求,要用天然或合成的食用着色剂,例如柠檬黄、食用胭脂红、辣椒红等对调配的饮料进行调色,色调以接近于新鲜果蔬表皮的颜色为宜。

对于香气缺乏的果蔬汁饮料,需要适当调香,所用香料的香型应与生产的饮料品种一致。

着色剂和香料的用量不得超过食品添加剂使用卫生标准(GB2760)中规定的用量。

此外,某些果蔬汁饮料,例如山楂汁在调配时还可添加少量六偏磷酸钠作稳定剂,防止山楂汁在贮藏期间发生浑浊、沉淀,并且还有护色作用,其用量为0.15%左右。

对于果肉型饮料,为了防止分层或沉淀,需要添加增稠剂和稳定剂,主要有羧甲基纤维素钠、卡拉胶、黄原胶、藻酸丙二醇酯等。

一般工厂配料均以批量进行,可以轮换使用几个调配罐,使配料能连续供应灌装生产线。配料时按每批的配料量(kg),根据原料汁和成品饮料的糖度和酸度,将查表获得的有关数据乘以配料量/1000,其乘积分别就是原料汁、砂糖和酸的用量(kg)。

配料时首先将足够量的水注入调配罐中,以防果蔬浓缩汁黏附在罐壁上,在水和浓缩汁充分混合后,在搅拌中加入糖浆,必要时顺序添加酸味剂、着色剂、抗氧化剂和香精等。

批量式配料系统往往是敞开式的,果汁中有混入空气的危险。果汁中有氧气存在时,会使维生素含量降低,产品质量下降。

对于大批量生产,可以采用连续式配料罐,这种系统包括测定及控制水和浓缩汁进料量的定量装置。用定量泵将浓缩果汁从包装容器输送到缓冲罐中,以使系统能连续运转,缓冲罐中的浓缩汁和水分别进入定量器,使进料量符合预定的体积比。

不论采用何种方法调配,在进入下一工序前,都要抽样检验,测定其糖度、酸度,并比照色泽。分析检验后,根据结果进行适当调整,使之符合产品标准,力求产品一致化。

(二)脱气

原料果蔬本身含有氧。在提汁、调配、搅拌、输送、分离、过滤时,果蔬汁与空气接触,还会引起空气的二次混入。刚榨得的橙汁中总氧量可达33.35mL/L。另外天然水中溶解的空气量可达70mL/L。水中的空气也会带入饮料中。实践表明,当每升果蔬汁中存在2.5~4.5mL氧时就会影响果蔬汁的质量。果蔬汁中的氧气不仅破坏维生素C,还与果蔬汁中的各种成分反应,使香气、色泽发生劣化。对于果肉型饮料,所含气体会提高果肉颗粒与汁液之间的密度差值,不利浑浊稳定性。果肉细胞空隙中存在的空气可造成加工过程中大量泡沫的出现。此外,氧气还会引起铁罐内壁的腐蚀,使涂膜剥离。这些影响在果蔬汁加热时尤为显着,因此,果蔬汁饮料必须脱气,在杀菌前预先去除其中的氧气。除去氧气可防止或减少维生素C的损失、香气成分的氧化、色调褐变和胶体粒子的凝聚。在果蔬加工过程中,脱气一般放在均质以前,通过脱气来排除果蔬肉细胞间隙中存在的氧和二氧化碳,防止氧气与果蔬细胞接触而加速氧化过程。在用浓缩汁生产果蔬汁饮料时,可以先均质后脱气,因为浓缩汁在加工过程中已经过加热灭酶、浓缩和杀菌等工序,空气含量少,影响产品质量的因素相应减少。先均质后脱气,可以使均质混入的空气一并排除,保证产品的质量。

脱气可以采用加热排气方式,多数情况采用真空脱气机。影响脱气的主要因素有真空度和物料温度、处理物料的表面积、脱气时间和选用的脱气设备。为了充分去除果蔬汁中的氧气,应使脱气罐内的汁液温度高于与脱气罐内真空度相应的沸点,最佳温度应使脱气饮料有2%~3%量的蒸发。脱气时为了使液体中的气体容易扩散,希望将汁液分散成雾状或使其成为薄膜状,尽可能增加表面积。脱气机由脱气罐、真空系统和排料系统组成。脱气罐一般为一锥底的圆柱形容器,根据薄膜形成的方法可以分为离心喷雾式、加压喷雾式和降膜式三种类型。

水中含有空气,尤其对碳酸饮料有害,因此饮料水往往也要脱气。水处理用的真空脱气机是对无垢性水进行脱气,为了加大表面积和停留时间,在罐内可以充填拉希环,这是对水和杀菌剂无作用的陶瓷材料,直径25mm左右,装入框内放入罐中,水经过液面控制阀,以0.10~0.14MPa压力从罐顶进入罐内,在分散流下的过程中依靠真空脱除溶解于水中的气体。脱好气的水由泵在大气压下连续送出。

脱气时间由处理液的性状、温度和汁液在脱气罐内的状态决定。黏度高、固形物含量多的物料较难脱气,脱气时间要适当延长。但如通过增加脱气罐内贮留量的方法来延长脱气时间,有时会在液层发生气泡。气泡会使固形物游离,使汁液组成发生变化,影响脱气效果,因此脱气罐大小应适宜。

在选用脱气条件时,应考虑饮料种类、浆料含量、糖度、黏度和香味等因素。脱气时的物料温度,热脱气为50~70℃,常温脱气25~30℃。

为了避免果蔬汁饮料风味的损失,同时又获得较佳的脱气效果,脱气时的真空度应取决于物料温度。在一般情况下,与操作真空度相应的沸腾温度应比饮料温度低3~5℃。例如进料温度45℃,可在93.3kPa真空下脱气,脱气后物料温度约41℃左右。选择较低于物料温度的沸腾温度,可使物料在微沸状态下,蒸发2%~3%的气体,达到脱气目的。

在有蒸发的脱气操作中,抽气量应高于仅抽去空气的场合。如果不能充分抽气,随着脱气罐内的压力的上升,脱气效果就会降低。为此在中间可以设置冷凝器,使凝缩性气体(水蒸气)与水一起凝缩,仅将不凝缩气体(空气)抽走。或使用兼有凝缩器和真空发生器双重作用的喷水凝汽器,更为有利。

真空度与沸点的关系见表2-1-87。

表2-1-87 真空度与沸点关系

(三)均质

均质是浑浊果蔬汁和果肉型饮料特殊的加工。果蔬汁饮料,特别是果肉型饮料常常发生分层现象。分层是因为悬浮颗粒受到的作用力大于汁液而发生沉降引起的。减少或避免分层的主要而有效的措施之一,就是通过均质使果蔬汁中的浆粒等固形物微细化,不仅减小其颗粒大小,同时改变其粒径的分布。均质的目的在于使含有不同大小或密度的粒子的悬浮液均质化,使果蔬汁保持一定的浑浊度,使果蔬汁完全乳化混合,获得不易分离和沉淀的果蔬汁饮料。另一方面均质还可以促进果胶的渗出,使果胶和果汁亲和,均匀而稳定地分散于果汁中,使果汁保持均匀的浑浊度。目前使用的均质机有高压均质机和超声波均质机。

高压均质机是制造果肉型饮料的关键设备。均质机是一种特殊的高压泵,工作部分由往复泵和均质阀组成。工作原理包括剪切、撞击和空穴三方面。

均质阀系统分别由一级阀和二级阀组成两级均质系统。均质阀的间隙可由手轮任意调节,一级阀的压力范围为0~60MPa,二级阀的压力范围为0~20MPa。两级均质阀的压力都可以在其规定的压力范围内任意选择,两级均质阀可以同时也可以单独使用。均质压力的高、低与物料经过工作阀门时的速度有关,均质效果与速度和空穴效应的次数有关。使用时可根据工艺要求和物料性质,选择最佳的均质压力组合和均质次数,从而获得较为满意的均质效果。一般说,一级均质阀以破碎作用为主;二级均质阀的乳化效果好,但破碎效果不如一级阀。

根据经验,浑浊型果蔬饮料的均质压力一般为18~20MPa,果肉型饮料宜采用30~40MPa的均质压力。

高压均质机破碎力大,均质时空气不会混入物料中,操作结束后容易清洗,可是物料在高压下通过窄小的间隙容易引起均质阀的磨损,应经常注意保持正常的工作状态。

为减少果蔬汁饮料分层现象,使用均质方法可以减少增稠剂和稳定剂的用量,不仅能改善饮料的口感,还可降低原料成本。

(四)瞬时杀菌

果蔬汁饮料杀菌除灭酶外,另一个目的是杀灭微生物,使霉菌和酵母等微生物致死。果蔬汁饮料一般属于中酸性(pH5.0~4.5)和高酸性(pH3.7以下)的范畴。霉菌,特别是霉菌孢子的耐热性大于酵母,有些霉菌孢子在87.8℃、30min条件下仍能生长,一般加热处理和真空状态可以防止果蔬汁饮料的败坏。

果蔬汁或果蔬汁饮料的杀菌工艺是否合理,不仅影响产品的贮藏性,也是影响其质量的极为重要的问题。现代饮料生产应优先选用高温短时杀菌或瞬时杀菌(Flash pasteurization)工艺。

在适当的加热温度和加热时间条件下可以完全达到杀菌的目的,可是加热一方面能使微生物致死,另一方面又会显着损害果蔬汁的品质,这样加热会产生两种截然不同的效果,因此对微生物的杀菌必须选择合理的加热温度和时间,以在保证达到杀菌目的前提下尽量减少加热对果蔬汁的影响。

尽管先进的果蔬加工技术可以采用冻结或超高压等方法取代加热杀菌,以保持果蔬汁原有的新鲜风味。但在目前,果蔬汁主要还是采用加热杀菌。加热杀菌的趋向是严格加热条件,将果蔬汁的受热影响控制在最小限度内。实践表明,在达到同样的杀菌效果下,高温短时杀菌、瞬时杀菌对果蔬汁品质的影响明显低于低温长时间的杀菌。因此果蔬汁饮料杀菌普遍采用93±2℃,保持15~30s的瞬时杀菌工艺。特殊场合下可采用120℃以上温度,保持3~10s的超高温杀菌工艺。

用于果蔬汁饮料加热杀菌的设备,即热交换器主要有板式、管式、刮板式等形式,可根据果蔬汁饮料的黏度、含浆量、杀菌温度、压力和保持时间等选用。此外还应考虑加热时应无局部过热现象,没有死角,避免物料滞留时间过长,加热介质不应污染饮料,以及清洗和安装方便等。可以选择通用性好、经济的加热杀菌设备。

(五)灌装

1.灌装方法

(1)热灌装 果蔬汁饮料有两种灌装方法:热灌装和冷灌装。热灌装是将脱气后均质的果蔬汁饮料通过板式或列管式等换热器,或通过冷热缸迅速加热至规定的杀菌温度,然后送往灌装机进行灌装。热灌装的果蔬汁所载有的热量必须满足以下三方面的要求:

①对果蔬汁饮料进行杀菌,使产品达到商业无菌要求。果蔬汁饮料的pH一般均在4.5以下,属低酸或酸性食品,饮料中的细菌芽孢难以生长,因此果蔬汁饮料均采用常压加热杀菌,杀菌温度一般90~95℃,保持数秒钟即可。

②在灌装过程中,整个系统保持巴氏杀菌温度,防止来自贮罐、管道、阀门以及灌装设备等的微生物对果蔬汁饮料的二次污染。

③对包装材料或容器(包括盖)进行杀菌。

根据以上原则,果蔬汁饮料的热灌装温度应该在85℃以上。灌装密封后将容器倒置3~5min使容器顶隙部分和盖内面接触高温饮料,利用饮料的热量进行容器内灌装空隙部位的杀菌,然后冷却即为成品。

果蔬汁饮料采用热灌装的优点如下:

①在高温下氧气的溶解度低,同时在灌装至密封的时间内可以进行热排气,因此采用热灌装的果蔬汁饮料,其中残存的氧气少,对保持饮料色泽,防止维生素C分解和随之长期保藏中的褐变均有好处。

②热灌装时的顶隙比冷灌装的小,一方面可以减少包装容器内的空气残存量,另一方面,在冷却后,饮料体积收缩,既保证了一定的顶隙度,又可在容器内形成适当的真空,有利于果蔬汁饮料的保存。

③热灌装过程中相对处于严格的热处理状态,果蔬汁饮料中存在的酶体系处于长期的非活化状态。

与一般罐头食品一样,热灌装的果蔬汁饮料可以在常温下长期保存。

热灌装时由于果蔬汁饮料处在高温状态下,与脱气、杀菌过程一样,挥发性香气成分有些损失。

可用于热灌装的包装容器有玻璃瓶、金属罐、耐热PET瓶和由纸、铝箔、聚乙烯复合的纸容器以及铝箔和聚乙烯的复合袋。这些容器在灌装前均应清洗干净或进行消毒。杀菌后的果汁温度,根据生产线的长短,一般要降低1~3℃,因此灌装机内的果蔬汁温度通常为90℃左右。使用金属罐时,自动灌装并封罐后,由液面检测器检验灌装量,然后送至冷却机进行喷淋冷却。饮料罐头生产线用的冷却机有分段式和隧道式两种。隧道式可使用循环冷却水,生产能力可达500罐/min。

当容器为玻璃瓶时,要加强对灌装温度和冷却温度的控制。玻璃瓶在洗净后可先通过蒸汽隧道或喷以热水,进行加温,使饮料与容器的温差保持在规定范围内。一般玻璃瓶的急冷温差极限为40℃,急热温差极限为60℃。因此热灌装时,饮料与玻璃瓶的温差不应超过60℃。而冷却时,冷却水与玻璃瓶表面的温差不应超过40℃,否则都有引起瓶身破裂的危险。瓶盖杀菌一般用杀菌釜,在120℃温度下保持5min,也可在甲醛的饱和蒸汽中放置6~8h。热灌装后,将瓶翻转,利用内容物的温度对瓶盖内部进行杀菌。随后用隧道式冷却机组进行分段快速冷却,冷却水一般分为3~4段温度差,喷淋冷却至40℃。

用纸容器灌装果蔬汁饮料有3种灌装方式,即冷灌装(5℃)、无菌灌装和热灌装。由于容器内部聚乙烯的熔点和密封特性,热灌装时的果蔬汁温度应低于用罐、瓶灌装的温度,一般为80~85℃,为此在果蔬汁饮料加热杀菌后最好将其预先冷却至上述温度后再行灌装。

(2)冷灌装 果蔬汁饮料也可采用冷灌装方式,亦称标准包装法,即将经过杀菌处理的果蔬汁饮料快速冷却后进行灌装。对于容易产生加热臭的某些果蔬汁,冷灌装是最有效的灌装方式。不经二次杀菌的冷灌装果蔬汁的保存寿命短,在冷藏下仅有2个星期。传统的冷灌装在密封后整个包装要经过杀菌冷却处理。

无菌包装是冷灌装的一种特殊形式,也是先进的灌装技术,经过杀菌冷却的果蔬汁饮料在无菌状态下装入预先经过杀菌的容器内,密封后无需杀菌和冷却,可以在常温下长期贮藏,因此被称为长命果蔬汁。

冷灌装法的优缺点如下:

①冷灌装果蔬汁饮料的杀菌温度90~95℃,与热灌装法相同,但加热时间短,因此果蔬汁饮料受热影响小,产品风味较好,不会产生加热臭,特别适合像柑橘汁类易产生“薯臭”味的果汁饮料的罐藏。

②冷灌装是在较低温度下(例如一般5℃左右)进行灌装的,不可避免地产生空气的再溶解,因此冷灌装果蔬汁饮料存在氧化的可能性,发生维生素C含量减少和风味特别是香味的劣化。氧的存在还能促进非酶性褐变反应,这些物理、化学变化和由细菌引起的变化,在7~10d后明显加强,使果蔬汁饮料的保存期受到很大限制。为此冷灌装的果蔬汁饮料需在10℃以下温度条件下低温贮藏和流通。目前冷藏装果蔬汁饮料的货架期仅为2个星期。

③冷灌装时存在微生物二次污染的可能性,而且容器等的杀菌有时不充分,需要从设备选型、灌装环境的净化和加工过程的管理等方面加以注意,将污染限制在最小范围内。

2.灌装方式

液体灌装机的类型很多,原理也不相同。按灌装时包装体内的压力状态,可以将液体灌装机分为常压、等压和负压三种灌装方式。

(1)常压灌装 通常采用量杯式容积定量,灌装液体在静压力作用下从贮液槽经进液管流入定量杯内,与此同时,定量杯内的空气通过排气管排出,当液面到达排气管下缘时,空气出路被堵塞,但由于贮液槽液面高于计量杯内的液位,液体仍继续升高一小段距离,使空气被压缩直到两处压力平衡为止,排气管内的液面根据连通原理,与贮液槽内液面相同。当阀门转换时,量杯及排气管内的液体全部流入包装容器内。当贮液槽液面高度变化时,虽然排气管中的液面也将变化,但由于其截面积很小,不会影响灌装机的灌装精度。调节排气管的高度就可调节量杯的容积大小,但贮液槽内的液面必须高于量杯内的液位才能进行定量灌装。

可动式量杯的容积定量。量杯在贮液槽内上下运动,贮液槽内的液面一般由浮球调节器进行调节,贮液槽内的液体必须保持一定的液面高度,当量杯处于最低位置时,液面高于量杯边缘10mm以上,以使液体充满量杯,当量杯处于最高位置时,液面应低于其边缘15mm以上,以保证灌装准确性。量杯在最高位置时完成灌装过程,灌装量即量杯的容积,因此改变量杯的容积就可以调节灌装量。

活塞式灌装机是黏稠性果蔬汁灌装的最佳方式,用活塞缸的容积定量,并由活塞行程进行调节。

(2)等压灌装 等压灌装也称反压灌装,这是含气饮料普遍采用的灌装方式,也可以用于果蔬汁等有一定黏稠度物料的灌装。

在等压灌装过程中,空气进入果蔬汁,容器顶隙部分留有空气是不可避免的,这是用空气反压原理进行操作的所有灌装机的特有情况。为了避免或减少这一情况,可以采用辅助装置,在灌装前去除容器中的空气,并用CO2或N2形成反压。

另一种灌装方法是采取满装法,使容器中的空气全部排除,在容器离开灌装阀前,用纯CO2或其他惰性气体将超过规定液面的那一部分果蔬汁排出,这样容器顶隙没有O2,只剩下CO2

也可用充N2方法置换容器顶隙中的空气,以消除O2的不良影响。

(3)负压灌装 负压灌装又称真空灌装,根据真空度高低可分为低真空灌装和高真空灌装。后者用于黏稠性饮料的灌装。

负压灌装有一个真空室,通过真空阀与灌装容器相通,可使容器内的真空度达到90%以上。灌装过程包括抽空、灌装和排余液等。由于容器内压力与贮液槽内压力相同,饮料在重力作用下流入容器。排出的空气迅速通过气管逸出,因此灌装速度快,当饮料刚一接触回气管下端时,灌装就停止,灌入容器内的液体通过气管到达灌装机贮液槽液面高度。

真空灌装时真空度一般不超过46.7kPa,真空度太高时,容器口会紧吸灌装头密封圈,不易分开。而真空度过低时,中央气管没有回吸液体能力。真空灌装机的特点是:阀门工作时无泄漏,不会造成液体滴漏损失和微生物污染。瓶口破损的玻璃瓶由于无法抽气,瓶内不可能形成真空,因此液体不会灌入瓶内,有利于检出破损容器。同理,无瓶不会灌装。负压灌装当液面到达气管下端时即停止灌装,可以保证装瓶高度一致。另一方面,由于灌装时抽空,容器内形成真空,可以减少空气量,减少饮料的氧化作用。这对果蔬汁饮料,无疑是有利的。

负压灌装主要用于非含气饮料的灌装,也可以正常用于重力灌装。与等压灌装组合,还可用于碳酸饮料的灌装。

3.玻璃瓶灌装线

玻璃瓶灌装线的生产能力,根据饮料种类和是否含气而有不同,碳酸饮料瓶装线最高速度可达1200瓶/min,一般100瓶/min。无气饮料高速400瓶/min,低速60瓶/min。浓缩饮料灌装速度低。完全自动化的玻璃瓶灌装线应该包括卸托盘机、卸箱机、洗瓶机、灌装压盖机、贴标机、装箱机和装托盘机。当然对于碳酸饮料还应包括气水混合装置、聚酯瓶温瓶机,采用瓦楞箱外包装时的捆扎机以及检验机等。在大型工厂,灌装生产线与自动仓库直接结合,但中小工厂可以省去卸托盘机。

(1)洗瓶机 洗瓶机可以分为无浸泡喷水式和浸泡喷水式。前者多用于小型工厂,适合不稳定的变形瓶,或包括变形瓶的多种形状和尺寸的瓶。相反,浸泡喷射式多用于大型工厂,有两种类型,一种是下部为浸泡槽,上部为喷射区,在喷射过程中返回,出入口为同一方向的Tum back型。另一种是上下弯道运行,经过多个浸泡槽浸泡后喷水洗净的W端型(W end)。洗瓶机除浸泡槽和喷水装置外,还辅以刷洗装置或超声波振动装置和提升阀装置,各有优缺点。

为了提高洗涤效果,可以在不损破瓶子的条件下,适当提高洗涤温度。另一方面为了节省蒸汽和水的用量,可以回收废热,同时采用逆流洗瓶法。

我国引进的日本三菱汽水灌装线中的BS432SP83型洗瓶机共有3个热碱水槽和1个温水槽,主要工艺参数见表2-1-88。

表2-1-88 三菱洗瓶机主要工艺参数

(2)灌装压盖机 玻璃瓶灌装机有可用于无气饮料、浓缩饮料、加有砂囊等固形物的饮料以及碳酸饮料的各种形式,也有兼用于无气饮料和碳酸饮料的灌装机。

无气饮料的灌装除重力式、真空式和加压式外,还有瓶口开放以微压空气探测液面,当液面升至一定高度时阀门关闭的空气传感灌装机。这种形式可以利用罐内的空气加压,用于浓缩汁、粒粒橙等饮料的灌装。

无气饮料除王冠盖外也可用其他形式的盖,例如金属或塑料的螺旋盖、PP(防盗)盖等,用其他盖时,灌装机与压盖机同步连接。

碳酸饮料通常低温下灌装,也有常温下灌装的。灌装过程一般包括反压、灌装、关阀、排气。灌装前首先将瓶口密闭,待瓶内压与贮液槽内液体同压后进行灌装。灌装结束后,有小孔的排气阀打开,进行排气。当灌装前的空瓶与液体同压时,空瓶内的空气混入贮液槽内,会引起饮料质量的降低,因此常采用将瓶内空气排入其他罐内的自由腔式灌装机。碳酸饮料在压盖前有时先进行超声波振动,使气泡集于瓶口处,待瓶上部空气排出后压盖,以保证饮料质量。

无气饮料热灌装时几乎满瓶灌装,当温度降低时液面也下降,这样顶隙处形成真空,可以保持其质量。热灌装的饮料快速冷却对于保证饮料的风味和色泽是极为重要的。

(3)操作要点 玻璃瓶灌装生产线操作注意事项如下:

①要定时测定和记录洗涤液的浓度和温度。

②加强对暖瓶后瓶子的检验,剔除不合格的瓶子。

③测定并记录灌装温度,如果饮料温度降低或压盖以后工序发生故障时,可将饮料取出,冷却并送回贮罐中。

④进行压盖状态的检验。

⑤不断抽样测定内容物重量和真空度。

⑥次日开瓶进行色、风味、香气和外观的感官检验。

⑦生产开始和结束时最容易发生事故,应特别注意。例如生产开始时灌装机和灌装嘴内残存的洗涤水混入饮料内。生产结束时,用于压出板式换热器内残存饮料的水与饮料相混等。

4.金属罐灌装线

金属罐灌装线可以根据饮料种类、品种、生产能力和工厂规模进行选择,主要设备有空罐供给装置、空罐输送机、洗罐机、装罐机、封罐机,日期打印机或喷码机、液面检测机、低温杀菌冷却机以及装箱机和装托盘机等。

(1)封罐机 进口自动封罐机主要类型列于表2-1-89中,封罐能力随罐型和内容物而改变,随着封罐机的高速化,其构造和操作也愈加复杂化。有些封罐机在罐身与罐盖接合的顶隙处喷射蒸汽,以使罐内形成真空。但对于充气果蔬汁饮料罐头必须使用具有喷射CO2机构的封罐机。

表2-1-89 封罐机主要类型

(2)日期打印机 日期打印机是在罐盖或罐底上打印生产日期的设备,通常用金属字模冲印,也有用橡胶字粒压印或用油墨压印,均是接触式打印。

饮料罐头一般使用6位数表示生产年、月、日,也有用双排数字分别标明生产和保质年月日的,还有用10位数标明班次或其他符号的。目前较多使用的是喷码机,这是非接触式电控喷墨印字,将所需印刷的文字,象点并合于符号纸板上,用与具有各象点的位置信息成比例的电压,使油墨粒子带电,然后被印文字偏向到达静电场,将用符号组成的文字喷印出来。

(3)操作要点 金属罐灌装生产线注意事项如下:

①严格进行杀菌后到冷却工序之间的温度和时间的管理。

②卷边检验,测定W、T、CH等卷边尺寸和进行卷边剖面检验。

③对生产线初剔出的不合格罐头进行重量检验,以确定液位测定仪的精度。

④对冷却后的罐头进行真空度测定。

⑤定时抽样,检查空罐损伤的情况。

⑥调节冷却水量,使冷却后的罐头液温降至40℃以下。

⑦检查各工序不合格罐头的发生率,并查明原因。

⑧对真空检验仪剔出的罐头进行检验,并与抽样的成品罐头进行对照,以判断产品总体质量。

⑨按生产日期的不同批量抽样开罐,对内容物进行感官和理化检验。

5.纸容器灌装机

纸容器包装的果蔬汁饮料特别以100%的天然果蔬汁和50%的果汁饮料为主,这种包装附加值高,陈列效果好,而且具有量轻、无公害等优点,有较好的发展前景。

用纸容器包装的果蔬汁饮料有冷装果蔬汁、无菌包装果蔬汁和热装果蔬汁等,主要的包装机有:

(1)屋顶纸盒(Pure-pak)QP型包装机 这是美国Ex-cello公司开发的屋顶形容器的包装机,是最为典型的液体包装机之一,主要用于冷装果蔬汁饮料的灌装。以纸板为材料,主要包装过程包括容器成形、灌装、密封和打印日期等。复合纸板由真空吸纸机构一张张吸起,插入心轴成形为四方形,同时在轴转动的同时,热压底部成形并密封。其次用压缩空气将其送向灌装工位,通过滑阀移动活塞,将定量好的果蔬汁饮料压入纸盒中,随后封顶、打印日期后送至转盘。QP灌装机生产能力为4500个/h,容量有250、500、1000mL,动力5.65kW,每小时耗气2kg、冷却水227L、蒸汽13kg。

(2)利乐包(Tetra-pak)无菌包装机 利乐包包装机是瑞典Tetra-pak公司的产品,是纸容器包装机中历史最长的,我国于20世纪80年代初引进。利乐包无菌包装机有标准型(用于四面体纸盒)和AB(用于Apsetic Brik纸盒)型两种。

利乐无菌包装只适用于非碳酸型饮品的包装。最初使用对象仅仅限于牛奶和果蔬汁,现已用于各种不同的液态食品的包装。

利乐包又称砖形包,其包装过程是把经超高温杀菌的饮料在无菌状态下用经灭菌的纸盒包装好,使盒内的饮料得以保存在无空气、光线及细菌的理想环境中,无需冷藏或加防腐剂就可保藏半年乃至更长时间。

利乐无菌包装系统实现无菌包装的三个条件如下:

①包装材料的灭菌:利乐无菌包装机的包装过程,首先包装材料从卷筒通过导向装置向上运行。为便于纵向密封和防止饮料与纸板切边相接触,在纸板的内切边加热贴上一条聚乙烯带。纸板通过浓度大约为35%(含有适当润湿剂)的双氧水(过氧化氢)槽,洗出和杀灭包装材料上存在的细菌等污物。由于润湿剂的作用,过氧化氢薄膜覆盖整个包装材料卷筒纸,在卷筒纸经一弯曲辊筒沥干并继续向下运行完成纵向密封后,其管内的螺旋形管式加热器将包装材料加热至110~120℃。同时纸筒上的双氧水浓度增大直至被蒸发,将纸内塑料层表面的细菌杀死。与此同时,由于提高过氧化氢薄膜的温度,形成过氧化氢气体和非常活泼的原子氧,对包装材料纸进行最后的化学灭菌处理,使其全干燥进入灌装器前呈无菌状态。纸筒的杀菌效果取决于杀菌时间、双氧水浓度和加热温度。

②饮料的杀菌:饮料杀菌一般是在与之相配套的超高温瞬间杀菌机中进行,以牛乳为例,其工艺流程如下:

3~7℃的生奶经平衡罐和泵送向板式加热器,与已消毒的牛乳进行热交换,生乳被加热至大约66℃,经均质机均质后流入板式加热器,与环流的加热水进行热交换,热水靠蒸汽喷射器加热至140℃,生乳则被加热至135~140℃,再流经加热器外的保温管,保持杀菌温度4s后,流入加热器,与热水环流冷端进行一级换热冷却,被冷却至大约70℃,再流经加热器与生乳进行二级换热,冷却至大约20~25℃,然后进入利乐无菌包装机进行无菌灌装密封。

③无菌环境下包装:利乐无菌包装机内的无菌环境如图2-1-56所示。来自空气收集罩的空气被送回到水环式压缩机加压,经气水分离器分离水后,空气进入加热器加热至350℃,灭菌的空气经冷却器冷却至约80℃,通过进气管3送至纸筒液面上空,由螺旋形管式加热器加热,对包装材料纸进行灭菌,同时过氧化氢继续蒸发,对密封纸筒液面上空进行灭菌,使液面上空呈无菌状态。而由管3送入的灭菌气流被隔板6折流向上,把汽化消毒液排除。由于这一过程是连续进行的,因此在密封纸筒内形成无菌空气层,可防止纸筒二次污染。在这样的无菌环境中,饮料通过管2进入阀门(俗称蝴蝶阀)使纸筒内的液面保持一定高度,并在液面以下满量灌装,以保证定量灌装和使包装内不含空气。纸盒经横向密封同时由内部的切刀切断,最后由折叠机折叠,并加热黏接固定,成为砖形纸盒,完成包装过程。如果纸盒两个横向封口成垂直位置,便成四面体纸盒。AB5型包装机的生产能力为7500个/h。

图2-1-56 利乐包装机内的无菌环境

1-空气收集罩 2-进料管 3-进气管 4-管式加热器 5-无菌空气流 6-隔板 7-浮子 8-液面 9-节流阀

如果利乐包装机在生产过程中停车较久,由于没有过氧化氢进入纸筒区,无菌环境就被破坏,因此,经过一定时间停车以后,必须对包装机重新进行灭菌处理。

(3)Hypa HFS型包装机 这是德国Hesser公司开发的,包装容器为平顶圆筒纸盒,材料也是聚乙烯加工纸与铝箔复合材料,上、下盖为铝箔,是专为果蔬汁包装而设计的。包装机采用热装方式,将85℃左右温度的杀菌果蔬汁灌装入纸盒后密封。为了保持饮料的品质,一般采用冷却通道,用冷水将包装的饮料冷却至30℃左右。包括盒身成形,上、下盖成形,底部密封,灌装和顶部密封5个工序。卷筒纸由筒身成形机构切断,并在气体加热的心轴内成形为筒状后排至输送机上,送往底部密封机构。另一方面,由盖成形机构成形的盖在与筒身输送机交叉部位左右分开,左侧盖与筒端结合,送往底部密封机构密封。送出的容器翻转180°,使开口朝上,送往灌装部位,随后灌装嘴降至容器内,在灌装过程中,灌装嘴上升,直至达到灌装规定量。分至右侧的盖与输送机汇合,送至纸筒顶部密封机构进行密封。HFS316包装机生产能力为3000个/h,灌装容量700mL,动力7kW,耗气0.6~0.7kg/h。

(4)热灌装纸盒包装机 我国南京第二商业机械厂仿制的FCGF-250型包装机,纸盒型式同利乐包。采用热灌装方式,包装过程见图2-1-57,生产能力1600b/h,灌装容量250mL。

图2-1-57 FCGF一250型包装机包装过程

各种纸容器包装机操作注意事项:与铁罐和瓶子相比,纸容器密封精度差,破损率高,因此对于需要长期保藏的饮料产品,检出不合格品是产品质量管理的主要问题。打检和真空检验不合格纸容器,只能通过观察内容物有无泄漏,以此判断密封的好坏。

(六)二次杀菌与冷却

果蔬汁饮料的灌装可以选用冷灌装和热灌装两种方式。对于非无菌包装的冷灌装果蔬汁,为了在常温下长期保藏,在灌装密封后必须进行杀菌和冷却。采用热灌装方式的果蔬汁饮料,在灌装密封后,将包装容器倒转3~5min,利用饮料本身的热量进行容器和盖内表面的杀菌,然后冷却,就可以在常温下长期保藏。这种方法在理论上完全是可行的,但在工厂实际生产管理中,工艺条件包括温度、时间等的管理往往不够严密,而且批量式配料前后灌装温度不尽一致,容器盖消毒不彻底。饮料灌装后,包装内如果不能达到商业无菌状态,常使果蔬汁饮料发生微生物败坏现象,造成极大损失,为此在灌装密封后仍需进行杀菌。

为了与灌装前的杀菌有所区别,同时也为了强调热灌装果蔬汁再次杀菌的必要性,一般将灌装密封后的杀菌称为二次杀菌。

二次杀菌与灌装前的杀菌一样,目的是破坏或杀死饮料本身所含有的酶类和能使饮料败坏的微生物,以便使密封在各种容器内的饮料在一般商品管理条件下的贮存、营销期间,不致发生微生物性败坏,或因病菌的活动而影响人体健康。

果蔬汁饮料的pH一般在4.5以下,属低酸性或酸性食品,故都采用沸水或沸水以下温度杀菌,杀菌条件根据产品种类、工艺过程、冷热灌装方式、包装大小等不同而异。杀菌方法有水浴加热和蒸汽加热,一般水浴加热较蒸汽加热传热均匀且迅速。在制定杀菌工艺条件时,同样应在保证饮料罐头安全贮藏的前提下,最大限度地降低杀菌温度和缩短杀菌时间。果蔬汁饮料由于pH较低,杀菌温度一般不超过100℃,可使用70~100℃的热水进行常压杀菌,杀菌公式一般为3min~15min/100℃(水),快速冷却。杀菌机有用杀菌篮堆放饮料罐头的多槽水浴式和杀菌锅式等间歇式杀菌冷却装置,以及单个饮料罐头的喷淋式和多层式连续杀菌冷却机。

(七)检验

果蔬汁饮料虽为低酸性食品,但在杀菌不充分或因其他原因而有微生物残留在包装容器内时,在适当温度下,这些微生物就会繁殖起来,造成果蔬汁饮料败坏。除某些高温细菌不产生气体外,一般腐败细菌都能产生气体使容器内压力增高,使金属罐的罐盖发生膨胀,因此用保温方法为饮料罐头内的微生物创造生长的最佳温度,并放置到细菌发育所需的足够时间,观察外观或进行有关项目的检验,证实产品合格后方可出厂。

一般饮料罐头在杀菌冷却后,堆放在仓库内,在不低于20℃的常温下保持7昼夜,当温度超过25℃时可缩短至5昼夜,保温后进行检验,剔除不合格的产品。

对于马口铁包装的果蔬汁饮料罐头可进行以下项目的检验。

1.外观检验

对马口铁罐,要观察双重卷边是否紧密结合,是否有铁舌、夹边、皱折、裂隙和流胶等现象,观察罐身有无棱角及凹瘪变形。双重卷边的边缝尺寸可用罐头卡尺测定。密封卷边缝是否漏气可用温水或敲打检查。此外罐盖状态也是一个主要的检验项目,正常罐头的内部成真空,因此罐盖都是向内凹入的。罐盖膨胀表明罐头内容物有可能败坏。

2.敲音检验

保温结束后,对罐头要逐个进行敲音检验,用特制的细铁棒或竹木棒敲打罐盖,根据发出的声音及传出的感觉判断罐头质量的好坏。发音清脆呈叮叮声的罐头为合格品。发音混浊的朴朴声为不合格品。将检出的轻度膨胀罐,单面和双面膨胀罐分开,进一步研究其变质的原因。

玻璃瓶或其他容器包装的饮料罐头也应采取类似方法进行某些项目,例如密封性、产品感官质量等方面的检验。

3.罐内真空测定仪

这是生产线上用于测定罐内真空度的仪器,通过光学或音响传感器或电磁方法自动检测罐内真空度,将真空度低的不合格饮料罐头排除生产线外。

(八)保藏

1.保存期

果蔬汁饮料可以根据灌装方式、包装容器、流通条件进行分类,分类情况和保存期参见表2-1-90。各类饮料简述如下:

表2-1-90 主要果蔬汁饮料的保存性

(1)热灌装果蔬汁饮料 果蔬汁经过换热器加热至93℃以上,立即装入洗净的容器内,密封、冷却。包装容器使用玻璃瓶时,要注意灌装温度和冷却温度,以防止破瓶。热灌装产品的保存性好,但加热温度高,受热时间长,因此果蔬汁的新鲜风味较差,有时还会产生加热臭。

(2)冷灌装果蔬汁饮料 冷灌装果汁杀菌温度同热灌装,但保温时间短,而且将果汁温度冷却至2~3℃时进行灌装,灌装密封后不再杀菌,饮料的风味较佳。采用冷灌装的果蔬汁饮料由于容器的杀菌处理不充分,会慢慢引起微生物的增殖。因此在5℃左右的低温条件下流通时,品质保存期仅有2个星期。

冷灌装的特殊方式是无菌包装。无菌灌装时,容器用过氧化氢或热风完全杀菌,而且在无菌环境下完成灌装,因此无菌包装制品的保存性好,可在常温下流通。在低温下贮藏时,保存期一般3~4个月,生产条件好的产品可达6个月。低温流通的新鲜果汁是将质量较好的原料水果榨汁后,不经杀菌直接装入容器,在1~2℃温度条件下流通,可保存2~3d。这类果汁又称鲜榨汁,风味极好,真正原汁、原味。

(3)冷冻浓缩果汁 冷冻浓缩果汁可以较好地保持产品的质量,目前美国冷冻浓缩果汁量约占浓缩果汁总量的75%。对于冷冻浓缩果汁,微生物也是重要的管理事项。贮存试验表明,冷冻浓缩果汁在-20℃温度下贮存时总菌数不断减少,6个月后平均减少约41%。

双乙酰浓度常作为生产过程中微生物造成浓缩果汁品质劣化的指标。双乙酰浓度一般在0.35mg/kg以下,超标时应注意生产设备的清洗和杀菌。

果汁浑浊稳定性是浑浊果汁品质的重要指标之一,由于冷冻浓缩果汁中兑有部分新鲜原果汁,应注意酶的作用。目前有关果胶酯酶活力的研究报告很多,但果汁浑浊的破坏除酶的作用外,还有其他原因。

冷冻浓缩果汁的保质期,如浓缩果汁的风味经750d,色调经275d,仍较稳定。

(4)纸容器装果蔬汁饮料 果蔬汁饮料纸容器一般可使用聚乙烯加工纸或聚乙烯加工纸与铝箔组合的材料。加工纸低密度聚乙烯复合的纸容器容易加工,价格低,但缺乏隔绝性,果蔬汁制品易产生氧化,因此这种容器不适合果汁饮料的长期保存。与铝箔复合的纸容器可以进行热灌装,适合包装果蔬汁饮料。

纸容器装果蔬汁饮料的保存性取决于氧化引起的质量劣化和微生物的二次污染。氧化的原因除聚乙烯透气性外,还有低温灌装时残留的空气。微生物二次污染通过生产场所的工艺管理可以得到控制,但加强日常卫生管理是很重要的。

与保存性有关的因素很多,因此果蔬汁饮料的保存期不能一概而论,低温贮藏可延长保存性,一般在10℃温度下可以保存2个星期。而无菌灌装的制品可以保存3~4个月。

2.果蔬汁饮料在加工和贮藏过程中营养成分的变化

水果和蔬菜在破碎、榨汁、磨碎、筛滤、脱气、热处理等果蔬汁加工过程中,以及在均质、加热杀菌等成品饮料的生产过程中,其中所含的营养成分均会受到不同程度的损失。损失多少视使用的水果种类和品种,以及生产技术和装备的水平等不同而异,其中较为突出的是维生素C的损失。有些果汁中的维生素C在制汁过程中因长时间受热而大量损失。为避免这种损失首先必须防止果蔬汁的氧化,防止果蔬汁与铜、铁等金属器具接触,防止微生物污染和半成品积压,减少果汁的受热时间。

果蔬汁及果蔬汁饮料在贮藏过程中的主要变化如下:

(1)果汁中维生素C的变化与糠醛的生成 果汁中的维生素C含量及其稳定性与水果种类和果汁的性质有关,例如苹果、梨、桃和杏等容易退色。从氧化酶活性强的水果取得的果汁,其中的维生素C是不稳定的。另一方面,黑醋栗中的维生素C特别稳定,这是因为黑醋栗中存在的黄酮醇在没有铜离子存在的情况下能增加维生素C的稳定性。与苹果汁相比,菠萝汁中的维生素C较稳定,这是金属离子和氧化酶活力的差异造成的。

果汁中维生素C的稳定性还与包装容器中的含气量有关。例如1L容量的容器装入果汁后存在30cm3的顶隙,顶隙中的氧气量足能氧化约100mg的维生素C。在现代灌装设备中,每1L果汁会带入0.5mg~1.5mg的氧,因此很多学者推荐在每1L果汁中添加50mg~150mg的维生素C。

柑橘汁在贮藏中生成糠醛,糠醛的生成与贮藏温度和柠檬酸含量有关。贮藏温度或柠檬酸含量越高,糠醛生成量越多,因此果汁制品在低温下贮藏可以抑制糠醛的生成。而在30℃左右的温度下贮藏时,糠醛积累较为显着,应加以注意。

糠醛生成机理主要是维生素C脱碳酸引起的,因此一般将糠醛含量作为橙汁风味劣化的判定指标。糠醛含量超过55μg/L时,可以认为橙汁风味变差或有异味。糠醛含量越高,果汁的风味劣化越显着。

另一方面,维生素C的稳定性还与容器材料有关。高锡带(HTF)罐价格比素铁罐高,但可以抑制锡的溶出。镀铬铁板(TFS)罐的涂装性和耐硫化氢性能较一般马口铁罐好,但由这两种材料制造的金属罐与维生素C残留量关系并不大(见表2-1-91)。

表2-1-91 马口铁罐与TFS罐中的果汁维生素C的变化 单位:mg/100g

分别用玻璃、聚乙烯、聚苯乙烯和蜡纸等容器贮藏天然橙汁,维生素C保持量以玻璃容器为最高,在4.4℃温度下贮藏1年,维生素C残留率为87%,维生素C残存率大小,依次为聚乙烯、聚苯乙烯和蜡纸的容器。

(2)果汁成分与包装容器的反应 如上所述,维生素C稳定性与容器所用材料有关。另一方面,容器与饮料成分之间发生反应以致影响饮料的风味,因此容器材料也是与果蔬汁保藏性有关的重要因素,这一方面的内容将在本节罐内壁腐蚀中介绍。

3.果蔬汁色泽的保持

果蔬汁的颜色也是制品质量的重要指标之一,与果蔬汁色泽有关的色素有类胡萝卜素、花色素和类黄酮化合物。类胡萝卜素主要含于柑橘类、菠萝、杏、番茄等内。花色素则是葡萄、草莓、浆果类等果蔬汁的呈色成分。贮藏中影响果蔬汁色素变化的因素很多,如贮藏期、贮藏温度以及氧、光、糖、pH及维生素C等,其中以贮藏期和含氧量对果蔬汁色泽的影响最大。光线对颜色稍有影响,但对草莓的纯色素具有漂白作用,花色素极易被还原为无色化合物。在果蔬加工和贮藏、流通过程中,抑制这些固有色泽的变化,保持果蔬汁的原有色泽,同时防止褐变等引起的色泽劣化是很重要的。

(1)非酶褐变 褐变分为酶促褐变和非酶褐变,果蔬汁加工过程中发生的褐变主要是酶促褐变,而产品在贮藏中引起的褐变则以非酶褐变为主,主要反应是氨羰反应,即美拉德反应。

果蔬汁中游离氨基酸的组成和含量与果蔬的种类有关。例如柑橘汁中的主要氨基酸是脯氨酸,其次为天冬酰胺、天冬氨酸、精氨酸和丙氨酸。苹果中一半以上是天冬酰胺,其次为天冬氨酸,其他氨基酸较少。菠萝一半以上为天冬酰胺。葡萄近一半为谷氨酸,其他为丙氨酸和精氨酸。

这些氨基酸与果蔬汁中的羰基化合物(糖和抗坏血酸的氧化生成物)反应,产生褐变。氨基酸中,色氨酸、羟基脯氨酸、组氨酸、赖氨酸和天冬氨酸的褐变活性较强,在褐变过程中氨态氮减少。在表2-1-92列出了菠萝汁在40℃下贮藏时氨基酸的变化,表中天冬酰胺包括谷氨酰胺、丝氨酸。日本三浦研究了各种果汁饮料在贮藏中的氨态氮含量的变化情况,发现在6个月的贮藏试验中,5℃下减少率在10%以内,约20℃时最大15%,40℃下天然果汁、果汁饮料的氨态氮减少率最大约17%,高糖果汁饮料为16%~28%,浓缩汁30%~60%。而且减少率与水果种类有关,温州蜜柑、菠萝减少特别显着,分解较为严重的氨基酸是天冬酰胺、谷氨酰胺和谷氨酸等。抑制这种果汁饮料褐变的首要条件是尽可能在低温下贮藏。

表2-1-92 菠萝汁氨基酸组成及在贮藏中的变化

促进褐变的主要原因还有酒石酸、苹果酸等有机酸、金属离子等。酒石酸的褐变活性比柠檬酸强。锡、铁、铵离子促进褐变。其次糖类中以果糖最富反应性,与褐变关系极大。一般认为褐变的中间体,包括脱氧葡萄糖酮醛(3-D-G)和羟甲基糠醛(HMF)在贮藏中含量增加,与褐变有关。为此有时将3-D-G的含量作为果汁质量的评价指标。

另一方面,抗坏血酸分解生成的反应性羰基化合物与氨基酸反应,因此抗坏血酸也与褐变有关,柠檬酸的存在还会增强褐变反应。最富反应性的中间物质是α、β的不饱和羰基类。当氧化型抗坏血酸含量达到30~60mg/kg时就会促进褐变。抗坏血酸与花色素共存时也会引起褐变。

(2)酶促褐变 容易引起酶促褐变的是仁果类和核果类水果,加工时遇到问题的水果是苹果和桃。酶促褐变机理是单宁类儿茶酸和绿原酸等多酚类物质,在多酚氧化酶作用下,与氧结合成苯醌,并进一步聚合成褐色物质。褐变程度根据水果的种类和品种的不同。基质多酚含量的不同也会影响酶活力的强弱。目前防止酶促褐变的方法主要有以下两种:

①添加抗坏血酸:利用抗坏血酸的防褐变机理是用其还原多酚氧化生成的中间生成物,使之复合成为多酚,同时抗坏血酸成为氧化型。因此当抗坏血酸全部被氧化时,中间生成物残留下来并开始褐变。这表明,防褐变的效果取决于果汁中多酚类物质的含量和抗坏血酸的添加量。

抗坏血酸防褐变效果与水果品种有关,例如添加20mg/100g苹果的抗坏血酸时,红玉和国光苹果防褐变的有效时间分别是20min和10min,而对有些苹果则几乎没有效果。防褐变有效时间的差异主要是由于品种多酚含量的不同。目前生产浑浊型苹果汁,一般添加80~100mg/100g的抗坏血酸,当然还应考虑果汁中的果浆和空气的含量。

多酚氧化酶一般耐热性差,90℃、10s或87℃、30s可以使99%的酶失去活力。

②调整pH:在栗子和桃加工中,添加柠檬酸可以防止褐变。多酚氧化酶的活力,例如苹果汁当其pH降至3.7以下时,酶活力急剧降低,在pH2.5条件下几乎不会有褐变反应。因此降低pH可以抑制酶的活力,但调整pH受到果汁风味的限制。

此外,添加食盐也可防止褐变,0.1%食盐溶液可使80%以上的酶失去活力。但对果汁加工来说,添加食盐除影响果汁风味外,还会促进容器特别是铝罐的腐蚀。

半胱氨酸、亚硫酸也有较强的防褐变效果。半胱氨酸添加量为20mg/100g,但需在产品标签上标明。亚硫酸曾经用于柑橘浓缩汁防褐变,但目前已不再使用。

(3)果蔬汁在加工和贮藏过程中的色泽变化果蔬汁在加工过程或在贮藏流通过程中,常常发生变色问题。常见果蔬类罐头的变色现象有:

①白桃褐变成紫罗蓝色、橄榄褐色。成熟度低的桃易变成灰暗色。

②梨、香蕉的褐变和变红色。

③苹果的褐变和变黑色、深绿色。

④草莓、樱桃、红葡萄等退色或变成紫蓝色、黄色或暗褐色。

⑤荸荠变红色或黄色。

⑥莲藕变红色或紫黑色。

⑦菠菜、黄瓜、苦瓜等变橄榄褐色或黄绿色。

⑧芦笋变紫色等。

果蔬变色的主要原因除了非酶褐变或酶促褐变外,还来自类黄酮化合物、类胡萝卜素、叶绿素等天然色素的变色。

柑橘汁中的类胡萝卜素耐热性强,但遇光容易退色和氧化,而罐头果汁的类胡萝卜素几乎未有损失。番茄汁经过二年贮藏,其中的番茄红素仍保存95%以上。柑橘果汁在加热杀菌中易变为黄色,但冷后即恢复原色,其机理在于类胡萝卜素结构中的环氧化物的转型。

葡萄色素是花色素,甲基翠雀素配糖体是主体。葡萄中的花色素多达9种。葡萄浓缩汁在贮藏中,色泽劣化和花色素含量的减少在贮藏初期较显着。研究表明,在-30℃冷冻条件下,10个月后,色泽降至78%,花色素总含量降为58%。

葡萄汁的色素与铁和锡反应生成螯合物,使果汁色泽变暗。10%康科葡萄汁饮料中铁含量达到2mg/kg时就会变紫。葡萄汁用马口铁罐包装时使用二次涂料罐。抗坏血酸和聚磷酸盐都有防变色效果。

防止果蔬汁退色或变色的主要措施如下:

①防止原料出现机械伤,去皮、破碎后防止暴露在空气中,必要时进行护色。例如梨、桃、苹果、香蕉、李、杏等水果,荸荠、莲藕等蔬菜在去皮后必须迅速浸泡在清水、食盐水或稀酸溶液等护色液中进行护色。

②缩短生产工艺流程,减少果蔬加工过程中的受热温度和时间,特别是绿色蔬菜原料,如菠菜、黄瓜等,更应减少加工过程中的受热时间。

③对具酶促褐变的果蔬原料,例如桃、苹果、莲藕、荸荠等应及时适当预煮,以破坏酶的活力。

④采用护色剂或降低pH,用柠檬酸、苹果酸降低内容物的pH,从而降低酶促褐变的速率。例如桃、梨等水果去皮后,特别是碱液去皮的桃,浸在一定浓度的柠檬酸中,不但能降低pH,抑制酶促褐变和非酶褐变的作用,还有螯合酚酶的铜辅基作用。有些蔬菜原料例如胡萝卜可以采用柠檬酸稀溶液预煮。

⑤对于山楂、莲藕等应选用花色素和单宁含量低的果蔬原料品种,同时应注意加工原料的成熟度,例如桃、梨、苹果、香蕉、杏等,一般成熟度越低,酶活力越大,变色也越严重。

⑥在苹果、桃、李等果蔬中加入抗坏血酸,有防止变色作用,但抗坏血酸脱氢后对空罐有腐蚀作用,并会引起非酶褐变,应适当注意。

⑦在加工过程中防止原料、半成品与铁或铜制的器具接触,并防止加工用水中这些金属离子的含量偏高。

⑧制备糖浆时应煮沸,随配随用,避免蔗糖转化。

⑨适当提高罐头的真空度,减少顶隙度。

⑩控制果蔬汁成品的仓贮温度,一般贮藏温度越低,变色越慢。

4.金属罐内壁的腐蚀

与果蔬汁饮料保藏性有关的重要因素之一是包装容器。目前对有关容器与果蔬汁的质量,流通过程中的得失,果蔬汁生产过程的管理等有了较多论述,今后除这些问题外,有必要从环保适应性方面进行研究。

马口铁罐内壁的腐蚀现象,出现在多数罐中,果蔬及果蔬汁饮料罐头尤为显着。影响罐内壁腐蚀的主要因素有以下五点。

(1)氧的存在 氧对金属是强烈的氧化剂,氧在酸性介质中作为阴极去极化剂对锡显示强烈的氧化作用,因此罐内残留氧的多少对罐内壁腐蚀起决定性作用,也就是说,锡的溶出量与罐顶隙度有关。例如200g素铁罐装的温州蜜柑汁,在室温下放置9~10个月,果汁中的铁含量为(3.64±1.97)mg/kg,锡含量(96.5±2.59)mg/kg。如果灌装量少,罐顶隙度大,溶出的锡更多。内容总量200g以上时平均锡含量89mg/kg,而200g以下时,锡高至121mg/kg。

表2-1-93为不同灌装方式的橘子汁罐头的溶锡量,由表可见,热装罐时罐内空气残留量少,故锡溶出量比冷装罐显着减少。

表2-1-93 不同灌装方式的橘子汁罐头的溶锡量 单位:mg/kg

(2)花色素 花色素是一种还原性物质,是锡的接受体,也是氢的接受体。樱桃、草莓中所含的花色素在马口铁罐内壁表现为阳极去极化剂。与腐蚀产生的锡盐结合形成紫色的分子内络盐,会使镀锡面不断发生腐蚀,最后导致铁面的大量暴露。因此像草莓、葡萄等果汁饮料,为防止退色现象发生,应选用涂料罐,其他果汁饮料用素铁罐。素铁罐内壁的锡离子与有机酸反应,产生氢,并除氧,使罐内保持还原状态,阻止导致质量降低的氧化反应,因此具有保持色泽和香气,以及防止维生素C减少等效果。另外含有一定浓度锡离子的饮料会产生清爽感,但锡离子超过100mg/kg时就会产生罐臭,有损风味。

(3)硝酸根离子 锡的异常溶出与硝酸盐的共存有很大关系,因此果蔬汁饮料调配用水中的硝酸态氮应限制在1mg/kg以下。灌装前的番茄汁中硝酸态氮应在3mg/kg以下。

研究表明,罐内残留氧量多和介质pH5以下的情况下,因硝酸根引起的溶锡量显着增加,腐蚀速度更快。低硝酸离子与柠檬酸钙共存时也会加速锡的溶出。

(4)酸的存在 果蔬汁饮料一般属酸性或高酸性食品,一般pH越低,腐蚀性越强,但内容物中含酸量及酸的组成对罐内壁腐蚀的影响较为复杂。与其含量多少相比,有机酸种类对罐内壁腐蚀的影响更大,例如富马酸会促进锡的溶出,因此添加有机酸等时应加以注意。

(5)硫及含硫化合物 果蔬栽培过程中常使用各种含硫农药。砂糖中有时也有微量杂质硫的存在。浓缩果汁有时用亚硫酸作防腐剂。所有这一切,当硫以硫磺、硫化物或亚硫酸盐等形式混入果汁罐头中时,也会引起罐内壁的腐蚀,使果汁饮料的香味受到严重损害。另外蛋白质分解时产生的硫化物容易腐蚀铁皮,形成FeS或SnS灰黑色斑点或沉淀。

影响果蔬汁饮料罐头内壁腐蚀的因素还有很多。防止罐内壁腐蚀的主要措施如下:

①根据不同品种原料的腐蚀性能选用抗酸、抗硫等不同抗蚀性能的金属罐,严格防止空罐出现锡层或涂料层的机械伤。对于素铁罐,罐身的内接焊缝应补涂涂料。

②控制罐内顶隙度,减少罐内残留氧量。

③控制适当的杀菌温度和时间,采用高温短时杀菌工艺,杀菌后迅速冷却至30~40℃,最大限度地缩短生产过程中的受热时间。

④对于梨、桃、李等原料尽量选用花色素含量较低的品种;对草莓、杨梅等花色素含量高的果汁饮料应选用抗酸涂料罐包装。

⑤采用真空封罐,适当提高罐内真空度。糖浆应煮沸,以排除砂糖中的SO2及空气。

⑥罐头密封后倒放杀菌冷却,进库后正放,在仓贮期内反复倒、正放,以减轻集中腐蚀问题。

⑦成品饮料贮存温度不宜过高,以不超过20℃为宜。仓库内应通风。

5.微生物引起的败坏

果蔬汁败坏的情况可分为三种:长霉、发酵和细菌败坏。这些变化分别是由三种不同种类的微生物,即霉菌、酵母及细菌引起的。

果蔬汁污染霉菌后,品质恶化,且产生霉味。霉菌可破坏果胶并使果蔬汁澄清,也常使酸类的成分改变或产生新的酸,结果导致风味恶化。一些霉菌甚至因产生色素而使果蔬汁变色。

酵母是引起果蔬汁败坏的重要菌类。不同酵母具有不同的特性,但仅有部分酵母对果蔬汁发生作用。果蔬汁发酵能产生大量二氧化碳气体,严重时可使包装容器爆裂。

果蔬汁中常见的细菌有乳酸菌、醋酸菌和丁酸菌。乳酸菌能败坏苹果、梨、柑橘、葡萄等果汁。乳酸菌能在厌气条件下迅速繁殖,对CO2有很大耐力,能耐酸,对低酸性果蔬汁极具危险性。乳酸菌大部分附在果蔬表面,特别是伤烂果实污染更严重。

醋酸菌常附在果实表面,多见于过熟果和伤果。果蔬汁污染醋酸菌时易产生醋酸,使饮料变酸。

丁酸菌常在pH4的苹果汁内生长,产生的丁酸具有特殊异味。

果蔬中存在的微生物及其引起果蔬汁的主要变化可参见果蔬汁加热杀菌一节。

随便看

 

离鸟网收录3541549条中英文词条,其功能与新华字典、现代汉语词典、牛津高阶英汉词典等各类中英文词典类似,基本涵盖了全部常用中英文字词句的读音、释义及用法,是语言学习和写作的有利工具。

 

Copyright © 2004-2024 vtrois.com All Rights Reserved
更新时间:2026/4/7 5:18:21