网站首页  词典首页


请输入您要查询的字词:

 

字词 某市民用住宅建筑施工“77板住1”通用网络计划
类别 中英文字词句释义及详细解析
释义

某市民用住宅建筑施工“77板住1”通用网络计划


一、工程概况

本工程采用六层三单元大板住宅的标准设计。建筑面积2,893平方米,层高2.9米,进深4.9米,开间3.3米和2.7米两种。

外壁板采用28cm厚钢筋混凝土与加气混凝土的复合板;内壁板为14cm厚的200*钢筋混凝土板。隔墙小板采用10cm厚的钢筋混疑土板,楼板、顶板均为单向预应力11cm的实心钢筋混凝土板(无阳台房间为一块;带阳台房间为两块)。楼地面在工厂预制楼板时已全部压光成活。壁板出厂时,窗和阳台门的制造安装、玻璃、油漆均已完成(仅甩里面的交活油)。

内墙刮大白腻子,喷107胶大白浆。墙裙、踢脚刷两道调和漆。外墙喷涂可在预制厂或施工现场完成。窗套、窗台、腰线刷白水泥浆。门头、雨罩、勒脚为水刷石。

结构壁板吊装采用3-8吨塔吊,其回转半径16米,起重能力5吨,臂长20米。采用先内墙板向外墙板逐间封闭吊装。其工艺流程为:放线→抄平→抹灰堆→吊放操作台→铺灰→墙板挂钩、起吊→就位、校正→固定→脱钩→焊接→塞缝条→拆除固定器。

结构工程采取大包混合队的编组形式:由架子工14人,电焊工10人,混凝土工7人,钢筋工2人,木工4人,抹灰工3人组成。

由于内装修量较少,各种装修及电、水器材等用料,按每层需用量及平面布置,在楼板安装前用塔吊分别吊入房间内。

装修工程包括:勾板缝;楼梯间顶墙、施工洞抹灰;管道洞孔修补;门头、雨罩、勒脚刷石等砌抹工程;木门、壁橱、吊柜、扶手安装等木装修和木制品;敷设管道,和做墙裙、踢脚、油浆等。其劳动组织也采用大包混合队的编组形式,由59-63人组成;其中:油工30人,木工10人,抹灰工19人,架子工4人。装修工程中的楼梯及阳台栏杆的安装、焊接,则安排在结构大包队的施工任务中,以便电焊工完成这一最后项目后,撤出转移。

在结构吊装第六层时,木工即插入打地眼补木砖,立口等,一般采取两个层同时进行。

该工程技术经济指标如下:

塔吊台班共44个台班,每平方米0.052台班

设计预算总工日 4537.43工日

施工预算总工日 3045工日

平方用工 1.052工日/平米

平方造价 116.67元/平米

建安工人日产值 110.85元/日

平均每日工作量 4821.93元/日

工期 70天

二、“77板住1”网络总图(图略)

三、“77板住1”网络图电子计算机数据

(1)WANG LUO DAI HAO(网络代号) 80004

(2)JI SUAN CHENG XU(计算程序) SGWL(78)-A01

(3)ZUO YE ZONG SHU(作业总数) N=157

(4)SHI XIANG ZONG SHU(事项总数) Q=109

(5)GUI DING GONG QI(规定工期) V=70

(6)KAIGONG RI QI(开工日期) 80-3-1

(7)WAN GONG RI QI(完工日期) 80-5-22

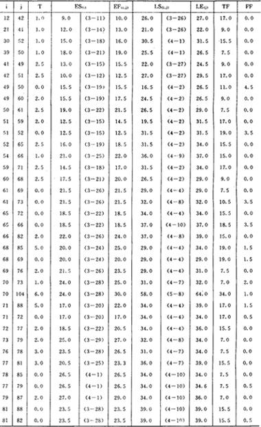
经电子计算机计算后所得结果如前表。

关键作业时间表

说明:ES、LS栏括号中的数字为日历日期。

非关键作业时间

随便看

 

离鸟网收录3541549条中英文词条,其功能与新华字典、现代汉语词典、牛津高阶英汉词典等各类中英文词典类似,基本涵盖了全部常用中英文字词句的读音、释义及用法,是语言学习和写作的有利工具。

 

Copyright © 2004-2024 vtrois.com All Rights Reserved
更新时间:2026/4/8 9:15:43