网站首页  词典首页


请输入您要查询的字词:

 

字词 标准不确定度的A类评定
类别 中英文字词句释义及详细解析
释义

标准不确定度的A类评定


1.一个量的等精度独立测量

当对一个待求量Xi作等精度独立测量,得

xi1,xi2,…,xini

则最佳值

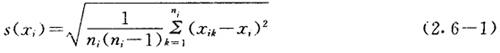
按2、4、3,xi的标准差即A类评定的标准不确定度可按以下算出

(1)贝塞尔法

其自由度因有一个限制条件∑(xik-xi)=0而为

vi=ni-1

(2)彼得斯法、极差法、最大误差法、最大残差法

彼得斯法

极差法

最大误差法

式中xi0为xi的真值。

最大残差法

极差法所用系数见表2.4-1,最大误差法所用系数见表2.4-2,最大残差法所用系数见表2.4-3。

由算s(xi)的可靠性,可知它们算得的s(xi)的自由度vi如表2.6-1。

表2.6-1 彼得斯、极差、最大误差、最大残差法自由度

(3)分组极差法

对xi独立测mi组,每组ni次,得各组为

xi(1,j),xi(2,j),…xi(ni,j),(j=1,2,…,mi)

算各组最大值与最小值之差,得极差

wi(1),wi(2),…,wi(mi),

平均极差

对最佳值

其标准不确定度

而c系数由表2.4-4取m=mi,n=ni查出。

s(xi)的自由度见表2.6-2。

表2.6-2 分组极差法自由度

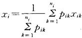
2.一个量的不等精度独立测量

当对一个待求量Xi作不等精度独立测量,得

xi1(权pi1),

xi2(权pi2),

xini(权pini)

则最佳值

其标准不确定度

s(xi)的自由度

vi=ni-1

3.最小二乘法

Xi的最佳值xi可得自最小二乘法。

在最小二乘法中,若待求向量为,且xi是Z的一个分量,比如第一个分量,又测量向量为 。对误差方程

AZ=L+V 权P

正规方程及解为

A′PAZ=A′PL

Z=(A′PA)-1A′PL=(qij)A′PL

由V=AZ-L,得单位权标准差

于是

xi=z1

而s(xi)的自由度vi=n-t。

【参考文献】:

[1]王立吉,计量学基础,中国计量出版社,1988。

[2]BIPM、IEC、IFCC,IUPAC,IUPAP,OIML,Guide to the Expression of Uncertainty in Measurement, ISO,1993.

[3]刘智敏,不确定度原理,中国计量出版社,1993。

[4]刘智敏,误差分布论,原子能出版社,1988。

[5]刘智敏,误差与数据处理,原子能出版社,1983。

[6]Liu Zhimin(刘智敏),Measurement Uncertainty and Its Correlation Combination,Proceeding of ISEM, 1993.

[7]国家计量总局量值传递处编,计量技术考核纲要,计量出版社,1981。

[8]国家技术监督局审定,刘智敏等编审,全国计量检定人员考核统一试题集第六分册三,误差及数据处理,陕西科学技术出版社,1990。

随便看

 

离鸟网收录3541549条中英文词条,其功能与新华字典、现代汉语词典、牛津高阶英汉词典等各类中英文词典类似,基本涵盖了全部常用中英文字词句的读音、释义及用法,是语言学习和写作的有利工具。

 

Copyright © 2004-2024 vtrois.com All Rights Reserved
更新时间:2026/4/9 14:16:06