网站首页  词典首页


请输入您要查询的字词:

 

字词 标准不确定度的B类评定
类别 中英文字词句释义及详细解析
释义

标准不确定度的B类评定


B类评定是重要的,因为并非所有不确定度都可用统计方法评定。

B类评定可籍助于有关信息,如以前的数据,有关材料和仪器的性能和特点,制造说明书或检定证书提供的数据,取自手册的参数的不确定度。

B类评定的标准不确定度可来自如下情况:

1.如估计值xi取自制造说明书、校准证书、手册等来源,且其不确定度为标准差的几倍,则标准不确定度u(xi)可简单取为该值除倍数。

〔例2.6-1〕 校准证书说,名义值1kg的不锈钢质量标准的质量ms=1000.000325g,该值的不确定度按三倍标准差为240μg。于是我们知道,ms的标准不确定度u(ms)=240μg/3=80μg

2.一般,我们可设Xi可能值服从正态分布,这时

(1)若所说不确定度确定的区间有百分之90、95、99的置信水准,则将所说不确定度除以1.64、1.96、2.58即得标准不确定度。

〔例2.6-2〕校准证书说,名义值10Ω的标准电阻器的电阻为10.000742Ω±129μΩ.且所说不确定度129μΩ确定的区间有99%的置信水准,则电阻器电阻Rs的标准不确定度u(Rs)=129μΩ:2.58=50μΩ。

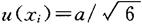
(2)如Xi可能值位于a至a+区间内概率为0.5,则Xi的最佳值xi及其标准不确定度u(xi)为

xi=(a++a)/2

u(xi)=1.48a

而a=(a+-a)/2。

〔例2.6-3〕机械师测定一零件大小,估计其长度以概率0.5位于区间10.07mm至10.15mm,则长度最佳值l及u(l)为

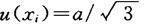
(3)如Xi可能值位于a至a+区间内概率为0.67,于是

xi=(a++a)/2

u(xi)=(a+-a)/2

3.若可取Xi可能值在〔a,a+〕上均匀分布,则

xi=(a++a)/2

而a=(a+-a)/2

〔例2.6-4〕一手册给出纯铜在20℃的温度膨胀系数α(Cu)=16.52×10-6-1,并说其误差不超过0.40×10-6-1。我们取α(Cu)在〔16.12×10-6-1,16.92×10-6-1〕上均匀分布,于是

4.若可取Xi可能值为梯形分布,且梯形底宽a+-a=2a,顶宽2aβ(β∈〔0,1〕,则

xi=(a++a)/2

当β=0时,梯形分布为三角分布,此时

5.若可能值Xi误差为投影分布,分布误差极限值为Δ,则对Xi最佳值xi修正-Δ/3后

u(xj)=3Δ/10

〔例2.6-5〕长2米的尺用标准尺检定,偏向角α≤1′。则投影误差δ=1-cosα的极限值

Δ=1-cos1′≈4.2×10-8

而δ的期望E与标准差σ为

E=Δ/3=1.4×10-8

σ=3Δ/10=1.3×10-8

故对l=2m尺,修正-lE=-28nm后,标准不确定度u=lσ=1.3×10-8×2m=26nm。

对于B类评定的标准不确定度,其自由度

而σ(u)/u为估计u的相对标准差。

如当σ(u)/u=0.5,则u的自由度为2。

【参考文献】:

[1]王立吉,计量学基础,中国计量出版社,1988。

[2]BIPM、IEC、IFCC,IUPAC,IUPAP,OIML,Guide to the Expression of Uncertainty in Measurement, ISO,1993.

[3]刘智敏,不确定度原理,中国计量出版社,1993。

[4]刘智敏,误差分布论,原子能出版社,1988。

[5]刘智敏,误差与数据处理,原子能出版社,1983。

[6]Liu Zhimin(刘智敏),Measurement Uncertainty and Its Correlation Combination,Proceeding of ISEM, 1993.

[7]国家计量总局量值传递处编,计量技术考核纲要,计量出版社,1981。

[8]国家技术监督局审定,刘智敏等编审,全国计量检定人员考核统一试题集第六分册三,误差及数据处理,陕西科学技术出版社,1990。

随便看

 

离鸟网收录3541549条中英文词条,其功能与新华字典、现代汉语词典、牛津高阶英汉词典等各类中英文词典类似,基本涵盖了全部常用中英文字词句的读音、释义及用法,是语言学习和写作的有利工具。

 

Copyright © 2004-2024 vtrois.com All Rights Reserved
更新时间:2026/4/9 8:57:48