网站首页  词典首页


请输入您要查询的字词:

 

字词 标准差的传播
类别 中英文字词句释义及详细解析
释义

标准差的传播


在计量工作中,待求的未知量常不能直接测得,而是通过函数关系,由几个直接测得的量算出。比如电阻器电阻R是温度t的函数

R=R0+αt

而R由R0、α、t算出

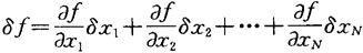
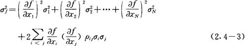
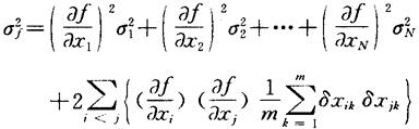
一般,直接测得的量值x1,x2,…,的函数

f=f(x1,x2,…,xN) (2.4-2)

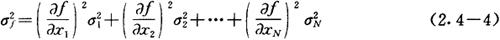
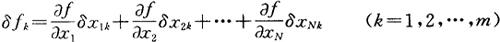
若xi的误差为δxi,则f的误差

若xi有m个误差值δxik(k=1,2,…,m)则f亦有m个误差

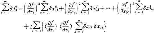
这种式子有m个,将各式平方和,得

因误差的平方平均即均方根差,若f,xi的均方根差即标准差为σf,σi,则将上式两端除m,可得

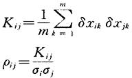
引入协方差Kij与相关系数ρij

则得

这个式子,可由自变量标准差算出函数的标准差,称为标准差传播律。

两误差间的相关系数ρij表明它们之间线性关联的松紧程度,相关系数ρij是一个界于〔-1,1〕之间的值,ρij=0时,称两误差无关。

当各xi误差彼此无关时,标准差传播律成为

〔例2.4-1〕正方形面积S为边长x函数

S=x2

若测得x=10.0mm,σx=0.1mm,则

S=100mm2

σs=2xσx=2×10×0.1mm2=2mm2

〔例2.4-2〕若f=k1x1+k2x2+…+kNxN,其中ki为常数,且各xi误差无关,则

〔例2.4-3〕若f=x1±x2±…±xN,且各xi误差无关,则

即和差的方差为方差之和。

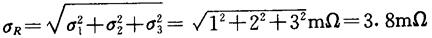
如三个电阻R1,R2,R3它们的误差无关,且σ1=1mΩ,σ2=2mΩ,σ3=3mΩ,则串联电阻R=R1+R2+R3的标准差

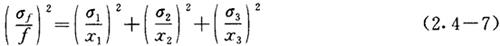
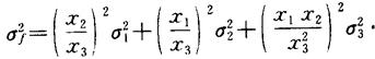
〔例2.4-4〕若

f=x1x2/x3

且各xi误差无关,则

即积商的相对方差为相对方差之和。

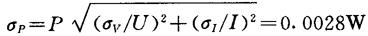
如电压V与电流I之积为功率P

P=UI

若U、I误差无关、且U=1V,σV=0.001V,I=2A,σI=0.002A,则

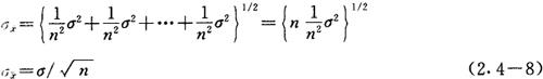
〔例2.4-5〕 平均值的标准差

若对某量多次等精度独立测得为

x1,x2,…,xn

因它们等精度,故σ12=…=σn=σ,又独立必然无关,从而平均值

的标准差

【参考文献】:

[1]王立吉,计量学基础,中国计量出版社,1988。

[2]BIPM、IEC、IFCC,IUPAC,IUPAP,OIML,Guide to the Expression of Uncertainty in Measurement, ISO,1993.

[3]刘智敏,不确定度原理,中国计量出版社,1993。

[4]刘智敏,误差分布论,原子能出版社,1988。

[5]刘智敏,误差与数据处理,原子能出版社,1983。

[6]Liu Zhimin(刘智敏),Measurement Uncertainty and Its Correlation Combination,Proceeding of ISEM, 1993.

[7]国家计量总局量值传递处编,计量技术考核纲要,计量出版社,1981。

[8]国家技术监督局审定,刘智敏等编审,全国计量检定人员考核统一试题集第六分册三,误差及数据处理,陕西科学技术出版社,1990。

随便看

 

离鸟网收录3541549条中英文词条,其功能与新华字典、现代汉语词典、牛津高阶英汉词典等各类中英文词典类似,基本涵盖了全部常用中英文字词句的读音、释义及用法,是语言学习和写作的有利工具。

 

Copyright © 2004-2024 vtrois.com All Rights Reserved
更新时间:2026/4/7 9:23:13