标准正交基 设α1,α2,…,αn∈Rn,且满足

则称{α1,α2,…,αn}是Rn的一组标准正交基.
两两正交的非零向量正交必线性无关 Rn中两两正交且不含零向量的向量组α1,α2,…,αn是线性无关的(反之不成立).
施密特(Schmidt)正交化方法
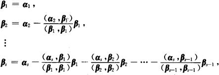
(1)设α1,α2,…,αs线性无关,若取

则β1,β2,…,βs是两两正交的非零向量组,将β1,β2,…,βs单位化,即令

则向量组η1,η2,…,ηs是标准正交向量组,上述过程称为施密特正交化方法.
(2)若α1,α2,…,αn是Rn的一组基,按施密特正交化方法得到的两两正交的单位向量组{η1,η2,…,ηn},即是Rn的一组标准正交基.
正交矩阵 实数域上的方阵A,若满足
AAT=E,
则称A为正交矩阵.
A是正交矩阵的充分必要条件 A是正交矩阵
的列(行)向量组为Rn的一组标准正交基,即设A=(α1,α2,…,αn),则有

正交矩阵的性质
(1)E是正交矩阵.
(2)A,B是正交矩阵,则AB也是正交矩阵.
(3)A是正交矩阵,则A-1(即AT)也是正交矩阵.
(4)A是正交矩阵,则|A|=1或-1.
(5)A是正交矩阵,则有(α,β)=(Aα,Aβ),即在正交变换下,向量的内积保持不变,从而保持向量的长度及向量间的夹角不变.