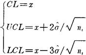
从20-24条中谈及的控制图的各个样本容量都是相同的。如果各个样本容量不相同时,控制图的作法也不尽相同。这种图上、下控制界线的计算,不再用
或
,而是使用
(标准差的估计值),由于
与各样本容量ni有关,就使图中的CL、UCL、LCL会随着ni的变化而变化,不再是一条直线,而是对容量不同的样本就有不同的控制界限,要分别计算出来。
设抽取k组数据(k个样本),第i个样本容量为ni,则该组数据各特征值计算公式是:

以上各式中,i=1,2,…,k,以下亦同,不再注明。
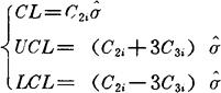
对于
图,要求ni≤10,则有:

-图

R-图

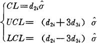
对于
图,ni的大小无限制,
的计算与
-图的3条线同上述的
图,而

S-图

对于
图,要求ni≤10,其
与R图的3条线的计算,同本条的
图,而

-图

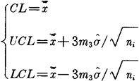
对于x-图,x与
的计算同本条的
图,而3条线是:

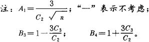
本条中各式的系数C2i,1/C2i,C3i可查表12-4、而d2i,1/d2i,d3i,m3可查表12-5得到。
表12-4


表12-5 管理图系数表
