网站首页  词典首页


请输入您要查询的字词:

 

字词 样本观测值的平均数、差异平方和、方差、标准差、变异系数
类别 中英文字词句释义及详细解析
释义

样本观测值的平均数、差异平方和、方差、标准差、变异系数


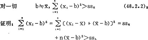
X在算术平均的意义下表示的n个同质数据的平均大小,它使许多随机因素的作用在一定程度上彼此抵销,从而把这n个同质数据赖以产生的生态条件和生物特性的作用突出出来。“算术平均”是生物统计的基本研究方法之一,对于非同质的若干个数(不是样本观测值),也可以根据需要计算它们的算术平均数。下列等式在关于差异平方和sSx的研究过程中经常使用:

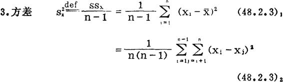
上式第二个等号右端是SSx的计算公式,它是所要求的计算结果直接用原始数据表达的形式。

上式把n个数据Xi,i=1—n与它们自己的平均数的差异的平方之和转化成这n个数据两两之间的差异的平方(xi—xj)2,1≤in2=个之和的,经常用来分析产生差异的原因。样本观测值的n个数据是同质的,它们两两之间的差异是随机因素造成的,所以SSx又称为随机平方和。在“回归分析”与“方差分析”这两类统计分析问题中,对于一组若干个样本观测值总的差异平方和SST*,需要根据产生差异的不同原因将它分解成几部分。

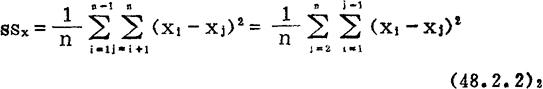
人们在实际工作中对于若干个数据,之所以用它们自己的平均数,而不是用任何其他的数作为“代表”,根据就是关于”被代表的实体”与“代表”之间的差异的(48.2.2)3式。

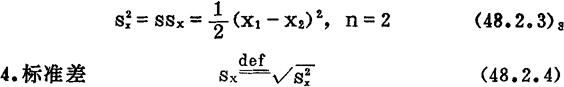
方差S是平均平方差异(x1—X)2——n个xi与它们自己的平均数的差异的平方(xi一X)2,i=1一n的算术平均——的“无偏修正”。这种修正仅仅是数值上的,S的概念仍然是“平均平方差异”。(48.2.3)2式表示,方差S等于n个x1两两之间的平均平方差异——差异的平方(xi—xj)2,1≤in2=——的一半。

在一元线性回归和多因子正交试验中,由于实际条件的限制,常常只能取n=2。在这种情况下,n—1=1,使用(48.2.3)2式以及(48.2.2)2式的如下特例计算Sx2和SSx是很方便的:

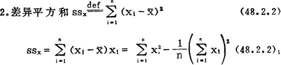
标准差Sx是方差Sx2的算术平方根,它也是n个同质数据xi,i=1—n两两之间的平均差异程度的一种度量,并且与数据(及其平均数)的量纲相同。

X>0时定义的变异系数cγ表示n个同质数据在单位平均数水平上的平均差异(变异)程度。无量纲,适用于下列情形比较不同样本观测值之间平均差异程度的大小:平均数大小不同(如6龄鱼体长与1龄鱼体长),特别是性质不同(多元总体,如同龄鱼的体长与体重)。Sx与cγ类似于误差理论中的绝对误差与相对误差,但是必须注意,随机差异与误差是两个概念。总体(同质生物数量)的不同取值之间的随机差异是客观存在的,不依赖于人们是否对其进行研究;误差是人们进行观测、计算以及采用数学模式等数学处理的结果与所研究的客观实体之间的差异,是主观失误。

在以下3—7各节,简要介绍最常用的统计分析方法:相关分析(一元、二元),回归分析(一元、多元),方差分析(单因子、双因子)与多重比较。其中贯穿显着性检验与参数估计(点估计、区间估计)的内容,并落实到统计分析实际工作的两个组成部分:计算统计量的观测值;查相应的数理统计表。根据各统计分析所需要的特定统计量的观测值计算公式,从原始数据一直到计算结果,把全部计算步骤以及它们之间的联系,完整地设计成计算表格。在计算表格中,记号“①②”表示数①经过规定的运算得出数②;记号“①③”表示数①与数②经过规定的运算得出数③。

(编者:刘长安 审者:孙尽善)

随便看

 

离鸟网收录3541549条中英文词条,其功能与新华字典、现代汉语词典、牛津高阶英汉词典等各类中英文词典类似,基本涵盖了全部常用中英文字词句的读音、释义及用法,是语言学习和写作的有利工具。

 

Copyright © 2004-2024 vtrois.com All Rights Reserved
更新时间:2026/4/7 17:35:45