网站首页  词典首页


请输入您要查询的字词:

 

字词 桑椹红
类别 中英文字词句释义及详细解析
释义

桑椹红


编码 GB 08.129

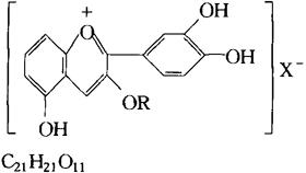
化学结构 主要着色成分为含花青素的花色苷。

相对分子质量 449.39(花青素3-葡萄糖苷)

性状 紫红色稠状液体,易溶于水或稀醇中,不溶于非极性的有机溶剂。在酸性条件下,本品溶液呈稳定的紫红色;中性时,呈紫色;碱性时,由紫变为紫蓝色。pH小于4.0时,溶液最大吸收波长为512~514nm。Fe2+、Cu2+、Zn2+及Fe3+的存在,对色素有不良影响,而K+、Na+、ca2+、Mg2+和Al3+的存在,则有护色作用。

制法 以桑属植物(Morus.alba L.)成熟果穗为原料,经整理、压榨、过滤。滤渣经溶剂提取后过滤。合并滤液及滤渣提取液,经精制、浓缩即得成品。如再经真空干燥或喷雾干燥,得粉状产品。

质量标准

鉴别方法

(1)本品易溶于水及稀醇溶液,不溶于非极性有机溶剂。当溶于pH小于5.0的酸性水溶液时,呈深红色。当溶液pH大于12时,呈紫蓝色。

(2)以可见分光光度计扫描测定,水溶液pH小于5.4时,最大吸收峰波长为512~514nm;pH大于12时,最大吸收峰波长移向565nm附近。

毒理学依据(四川省食品卫生监督检验所报告)

LD50 大鼠口服大于13.4g/kg(bw)。

小鼠口服大于26.8g/kg(bw)。

使用 着色剂。

1.使用注意事项

(1)本品为花色苷类色素,在pH小于5.0时,色泽较稳定。适宜偏酸性食物着色。

(2)本品遇铁、铜、锌等金属离子,颜色极不稳定,故在贮存或使用过程中,应避免与上述金属容器或设备接触。

2.使用范围及使用量 我国《食品添加剂使用卫生标准》(GB 2760-1996)规定:果酒、果汁型饮料,最大使用量1.5g/kg;糖果,最大使用量2.0g/kg;果冻、山楂糕,最大使用量5.0g/kg。

随便看

 

离鸟网收录3541549条中英文词条,其功能与新华字典、现代汉语词典、牛津高阶英汉词典等各类中英文词典类似,基本涵盖了全部常用中英文字词句的读音、释义及用法,是语言学习和写作的有利工具。

 

Copyright © 2004-2024 vtrois.com All Rights Reserved
更新时间:2026/4/9 12:27:49