网站首页  词典首页


请输入您要查询的字词:

 

字词 棕色化反应香料
类别 中英文字词句释义及详细解析
释义

棕色化反应香料


(一)概述

反应性香料主要是指棕色化反应香料。

棕色化反应可分为两大类,一类称作酶促棕色化反应,是指在多酚氧化酶的作用下,氯原酸和其他多酚类物质被氧化为醌的反应过程;另一类称作非酶棕色化反应,是指羰基物和氨基物经缩合、脱水、降解等一系列变化形成棕色产物的反应过程。非酶棕色化反应亦称作Maillard反应。

非酶棕色化反应又可分为以下4类:

(1)还原糖与氨基酸和其他氨基物之间的棕色化反应,这是至今为止研究最为广泛且最为深入的一类棕色化反应。

(2)焦糖化反应,是指没有氨基物存在时,糖在高温下发生的缩合、脱水、降解等一系列变化形成棕色产物的反应过程,焦糖化作用所需的反应温度一般比有氨基物存在时的反应温度要高一些。

(3)低级醛和酮与氨基酸和其他氨基物之间的棕色化反应。

(4)多酚类化合物与重金属离子的反应。

棕色化反应是食品(包括烟草)在热加工或较长期的储存过程中发生的许多化学和生化反应中的一种。它对食品的制造工艺、化学构成、抗氧化性能、营养价值和毒性方面都有很大的影响。

(二)棕色化反应产物的形成过程

棕色化反应从开始到生成杂环物质主要有7类反应。

1.糖-氨基酸缩合反应产物

还原糖的开环、氨基对羰基的亲核加成和脱去1分子水,生成N-糖胺。游离的糖胺不稳定,只得到了它们的钠盐或金属离子复合物得无定形结晶。

2.Amadori和Heyns中间产物

N-葡萄糖胺经分子重排形成Amadori中间产物 1-氨基-1-脱氧-2-酮糖。N果糖胺经分子重排形成Heyns中间产物-2-氨基-2-脱氧-1-醛糖。

3.Amadori和Heyns中间产物的脱胺和还原酮以及脱氢还原酮的形成

1-氨基-1-脱氧-2-酮糖(Amadori中间产物)经加热生成还原酮或脱氢还原酮。Heyns中间产物(2-氨基-2-脱氧-1-醛糖)也可重排形成1,2-烯醇的形式,然后脱氨生成3-脱氧-1,2-二酮和3,4-烯-1,2-二酮。

4.还原酮类的逆羟醛缩合反应

Amadori和Heyns中间产物重排脱氨形成还原酮和脱氢还原酮后,可进一步经逆羟醛缩合反应裂解生成丙酮醛、乙二醛、2,3丁二酮等二羰基化合物:

5.Strecker降解反应

在上述反应中生成的α-二羰基化合物与氨基酸作用产生一个很活泼的氨基酮和比氨基酸少一个碳原子的醛,释放出二氧化碳,用同位素示踪的试验中证实释放出的二氧化碳主要来源于氨基酸中的羰基。氨基酸降解所产生的醛是棕色化产物中醛的主要来源。由于氨基酮的性质很活泼,在形成各种杂环化合物的反应中占有很重要的地位。

蛋氨酸的降解则产生醛、氨和甲基巯(硫代甲醇):

6.羟醛缩合反应

Strecker降解反应生成的醛以及前面几类反应生成的某些酮可以发生羟醛缩合反应,使相对分子质量较小的羰基物缩合成为不同相对分子质量的羰基物及其衍生物:

7.各种杂环化合物的生成

(1)内酯类化合物。氨基酸脱氨后生成不饱和脂肪酸,环化脱水形成内酯。氨基酸脱氨后与醛反应,脱羧后环化也生成内酯:

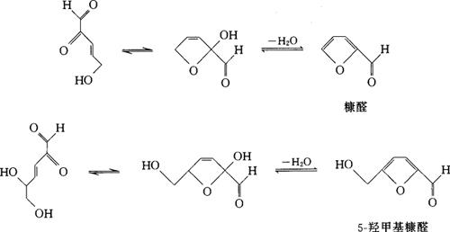
(2)呋喃类化合物。Amadori和Heyns中间产物重排脱氨形成还原酮类化合物后,可进一步环化形成糠醛类化合物。戊糖生成糠醛,己糖生成羟甲基糠醛。

(3)吡喃酮类化合物。还原酮类化合物可以环化生成吡喃酮类化合物,如麦芽酚和5-羟基麦芽酚,这类物质具有明显的烤香味,在食品和烟草中普遍使用。

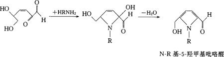
(4)吡咯类化合物。还原酮类与氨基酸缩合环化可以形成吡咯类化合物。

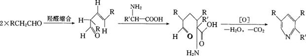
(5)吡啶类化合物。棕色化反应过程中吡啶类化合物的形成路径主要是羟醛缩合产物与氨或氨基酸的环化缩合。

(6)吡嗪类化合物。吡嗪类化合物对烟草香味有很大影响,它可由Strecker降解产生的氨基酮缩合而成。

(7)噁唑类化合物。氨基酮与醛类作用可产生噁唑类化合物。

(8)噻吩类化合物。噻吩类化合物是由α-二羰基化合物与硫化氢作用生成的。

(9)咪唑类化合物。氨基酮与亚胺作用生成咪唑类化合物。

(10)噻唑类化合物。α-二酮与硫化氢和亚胺类作用生成噻唑类化合物。

(三)影响棕色化反应的因素

棕色化反应的机理很复杂,其影响因素也很多。其中主要的影响因素有反应物的种类(如还原糖和氨基酸)、反应温度、反应时间、水分、pH值和供氧情况等等。

1.糖和氨基酸的类型

如表5-6-14和表5-6-15所示,所用还原糖不同,用相同的氨基酸,反应产物的香气有可能不同;用同一种氨基酸,而用不同的糖,反应产物的香气也有可能不同。所以,所用糖和氨基酸的类型不同,产物的香气有可能不相同。

表5-6-14 葡萄糖与不同氨基酸反应后产物的香味

表5-6-15 两种氨基酸和四种糖类在pH为6.5和100℃时反应产生的香味

2.反应温度

相同的糖和氨基酸,在不同的反应温度下,产物的香气有可能不同。对于反应速度来讲,温度上升,反应速度加快,香味物质主要在高温阶段产生。

3.反应时间

反应程度越深,产物中高聚物的比例越大。

4.水分

在反应中,水分是反应所必需的,但水过量对反应有抑制作用,含水量为零或高于90%时,几乎观察不到褐变现象。

5.pH

pH降低,溶液偏酸性,反应会受到抑制,pH升高,溶液偏碱性,反应速度加快。

6.氧与催化剂

氧的存在对棕色化反应有加速作用,在密闭体系中的棕色化反应明显比敞开体系的速度要慢一些。磷酸盐和柠檬酸盐等碱性盐类由于其对pH的缓冲能力,能使反应体系保持较高的pH,因而有加速反应的作用。而抗坏血酸等对反应有阻滞作用。

(四)棕色化反应产物中的杂环化合物

棕色化反应的产物主要有两大类,一是低相对分子质量的挥发性成分,另一类是大相对分子质量的水溶性高聚物。在低相对分子质量产物中,最能代表棕色化反应产物香气特征的是杂环类化合物。

1.呋喃类(57种)

(1)-C-2位取代呋喃(38种):

呋喃 2-甲基呋喃 2-乙基呋喃

2-n-丙基呋喃 2-n-丁基呋喃 2-n-戊基呋喃

1-(2′-呋喃基)-3-丁酮 甲基呋喃基乙基硫醚 2-甲基-3-(2-呋喃)-2-丙烯

2-(2′-戊烯基)呋喃 糠基甲基酮 二呋喃基甲烷

糠胺 糠醇 糠基甲基醚

二糠基醚 甲酸糠酯 乙酸糠酯

丙烯酸糠酯 糠硫醇 糠基甲基硫醚

二糠基硫醚 异丙基呋喃 乙烯基呋喃

丙烯基呋喃 1,2-二(2,2′-呋喃基)乙烯 糠醛

乙酰基呋喃 2-丙酰基呋喃 2-n-丁酰基呋喃

2-呋喃基糠基酮 2-呋喃基-2′-羟甲基呋喃酮 2,2′-二呋喃甲酰

糠酸 硫代糠酸甲酯 2,2′-二呋喃

氰基呋喃 2-糠基-2-氨基呋喃

(2)1,5-二取代呋喃(19种):

2,5-二甲基呋喃 2-甲基-5-乙基呋喃 2-甲基-5-n-戊基呋喃

5-甲基-2-丙酰基呋喃 5-乙基糠醛 2-甲基-5-羟甲基呋喃

2-甲基-5-糠醇乙酸酯 2-甲基-5-异丙基呋喃 2-甲基-5-乙烯基呋喃

2-甲基-5-丙烯基呋喃 2,5-二乙基呋喃 2,5-二糠基呋喃

5-甲基糠醛 1-(5′-甲基-2-糠基)吡咯 5-糠基糠醛

5-(5′-甲基糠醛)糠醛 5-羟甲基糠醛 2-乙酰基-5-甲基呋喃

2-甲基-(5′-甲基糠基)呋喃

2.吡喃类(3种)

麦芽酚 5-羟基麦芽酚 5-羟基-5,6-二氢麦芽酚

3.吡咯类(39种)

吡咯 N-甲基吡咯

N-乙基吡咯 N-n-丙基吡咯

N-n-丁基吡咯 1,2-二-(N-吡咯)乙烷

1-甲基-1,2-二-(N-吡咯)乙烷 N-乙酰吡咯

1-(N-吡咯)-2-丁酮 N-糠基吡咯

N-(5′-甲基糠基)吡咯 N-(5′-羟甲基糠基)吡咯

N-异丙基吡咯 N-(1′-甲基丙酮基)吡咯

1-(N-吡咯基)-1-甲基-2-丁酮 1-(N-吡咯基)-1-乙基-2-丙酮

N-甲酰吡咯 2-甲基吡咯

2-乙基吡咯 2-n-丙基吡咯

2-n-丁基吡咯 2-丙酮基吡咯

2-甲酰基吡咯 2-乙酰基吡咯

N-甲基-2-甲酰基吡咯 N-甲基-2-乙酰基吡咯

2-(2-羟乙酰)-N-吡咯 N-乙基-2-甲基吡咯

N-乙基-2-甲酰基吡咯 N-异丁基-2-甲酰基吡咯

2,5-二甲基吡咯 2-甲基-5-甲酰基吡咯

2-乙基-5-甲酰基吡咯 2-甲酰基-5-丙基吡咯

2-甲酰基-1,5-二甲基吡咯 N-乙基-2-甲酰-5-甲基吡咯

N-乙基-2-乙酰基-5-甲基吡咯

4.吡啶类(24种)

吡啶 2-甲基吡啶 2-乙基吡啶

2-n-丙基吡啶 2-丙酮基吡啶 2-甲酰基吡啶

2-乙酰基吡啶基 3-甲基吡啶 3′-吡啶甲酸甲酯

4-甲基吡啶 4-乙基吡啶 2,3-二甲基吡啶

2,4-二甲基吡啶 2,5-二甲基吡啶 2-甲基-5-乙基吡啶

2-乙基-5-甲基吡啶 2-氨基-5-甲基吡啶 3,4-二甲基吡啶

3-乙基-4-甲基吡啶 3,5-二甲基吡啶 2,3,5-三甲基吡啶

3,5-二甲基-2-乙基吡啶 3,5-二甲基-4-乙基吡啶

3,4-二-(N-甲基甲酰氨基)吡啶

5.吡嗪类(46种)

(1)简单吡嗪(26种):

吡嗪 2-甲基吡嗪 2-乙基吡嗪

2-丙酮基吡嗪 2,3-二甲基吡嗪 2-甲基-3-乙基吡嗪

2,5-二甲基吡嗪 2-甲基-5-乙基吡嗪 2,5-二乙基吡嗪

2-乙-5(或6-)-乙酰吡嗪 2,6-二甲基吡嗪 2-甲基-6-乙基吡嗪

2,6-二乙基吡嗪 2-甲-5(或6-)-n-丙基吡嗪 2,3,5-三甲基吡嗪

2-乙-3,5-二甲基吡嗪 2,3-二二乙-5(或6-)-甲吡嗪 2,5-二乙-3-甲吡嗪

2-羟甲-3,5-二甲吡嗪 2-乙基-3,6-二甲基吡嗪 2,6-二乙-3-甲吡嗪

三乙基吡嗪 四甲基吡嗪 三甲基乙基吡嗪

2,6-二乙-3,5-二甲吡嗪 2,5-二二乙-3,6-二甲吡嗪

(2)6,7-二氢-(5H)-环戊烯并吡嗪及其衍生物(11种):

其中:

R1 R2 R3

H H H

H H CH3

H H C2H5

CH3 H H

C25 H H

CH3 CH3 H

CH3 H CH3

C2H5 H CH3

COCH3 H CH3

H CH3 CH3

CH3 CH3 CH3

(3)5,6,7,8-四氢苯并吡嗪及其衍生物(9种):

其中:

R1 R2 R3 R4 R5

H H H H H

CH3 H H H H

C2H5 H H H H

H H CH3 H H

H H C2H5 H H

CH3 CH3 H H H

C2H5 CH3 H H H

H H CH3 H CH3

H H CH3 CH3 H

6.噻吩类(31种)

噻吩 2-甲基噻吩 2-乙基噻吩

2-n-丙基噻吩 2-n-丁基噻吩 1-′(2′-噻吩基)-2-丙酮

2-羟甲基噻吩 2-巯甲基噻吩 2-甲酰基噻吩

2-乙酰基噻吩 2-丙酰基噻吩 1-(2′-噻吩基)-1,2-丙二酮

2-噻吩甲酸 2-噻吩甲酸甲酯 2-巯基噻吩

2-甲硫基噻吩 3-甲基噻吩 3-乙酰基噻吩

2,3-二甲基噻吩 2-乙基-3-甲基噻吩 2-n-丙基-3-甲基噻吩

2-甲酰基-3-甲基噻吩 2-乙酰-3-甲基噻吩 2,4-二甲基噻吩

2,5-二甲基噻吩 2-甲酰基-5-甲基噻吩 2-乙酰基-5-甲基噻吩

2,3,5-三甲基噻吩 2,5-二甲-3(或4-)-乙基噻吩 2,4-二甲基-5-乙基噻吩

2,5二甲基-3甲酰基噻吩

7.咪唑类(15种)

咪唑 N-甲酰基咪唑 2-甲基咪唑

2-乙基咪唑 2-甲酰基咪唑 2-乙酰基咪唑

4-甲基咪唑 5-甲基咪唑 1,2-二甲基咪唑

1-乙基-2-乙酰基咪唑 1,4-二甲基咪唑 1-乙酰基-4-甲基咪唑

2,4-二甲基咪唑 2,5-二甲基咪唑 2-乙基-5-甲基咪唑

8.噻唑类(22种)

噻噻唑 2-甲基噻唑 2-乙基噻唑

2-n-丙基噻唑 2-n-丁基噻唑 2-乙酰基噻唑

1-(2′-噻唑基)-1-丙酮 1-(2′-噻唑基)-1-丁酮 2-(2′-呋喃基)噻唑

4-甲基噻唑 4-乙基噻唑 5-乙基噻唑

5-甲基噻唑 2,4-二甲基噻唑 2-甲基-4-乙基噻唑

2-乙酰-4-甲基噻唑 2,5-二甲基噻唑 2-甲基-4(或5-)-乙基噻唑

2-甲基-5-乙酰基噻唑 2-乙酰基-5-甲酰基噻唑 2,4,5-三甲基噻唑

2,5-二甲基-4-乙基噻唑

(五)棕色化反应在烟草加香加料中的应用

棕色化反应物中含有大量的致香物质,这些致香物质有相当一部分对于改善卷烟的吸味、降低刺激性和杂气、增加香气是有益的。这类产品不论是在烤烟型或混合型,或者在里料、表料或香精中,均可使用,用量可根据实际情况确定。而且,在烟草的陈化发酵过程中也发生棕色化反应,因此棕色化反应产物在烟草中应用与烟草自身香味的谐调比较容易,也不存在安全管理上的问题。

随便看

 

离鸟网收录3541549条中英文词条,其功能与新华字典、现代汉语词典、牛津高阶英汉词典等各类中英文词典类似,基本涵盖了全部常用中英文字词句的读音、释义及用法,是语言学习和写作的有利工具。

 

Copyright © 2004-2024 vtrois.com All Rights Reserved
更新时间:2026/4/9 12:57:36