网站首页  词典首页


请输入您要查询的字词:

 

字词 植物蛋白饮料的乳化稳定性
类别 中英文字词句释义及详细解析
释义

植物蛋白饮料的乳化稳定性


综上所述,各种植物蛋白饮料都是经过磨浆方法,将浸泡或未浸泡的蛋白质原料加水研磨,磨浆时的料水比一般为1∶8~10,最高至1∶15,经过粗磨和精磨两次磨浆。各种蛋白浆经过调配、均质乳化而成的饮料是一种胶体溶液,是水包油型(O/W)乳浊液,为热力学不稳定的体系。蛋白质饮料质量的共同问题是乳化稳定性,在制造后的贮藏、流通直至消费过程中,常常出现分层、絮凝、微滴合并、破裂及败坏等破乳问题。

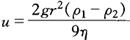
关于果肉型、果粒果汁型饮料的分层理论对于蛋白质饮料这一乳浊液来说,Stokes定律同样适用。蛋白微粒在乳化液中上浮或下沉的速度u:

式中 ρ1——分散相粒子的密度

ρ2——分散媒(介质)的密度

r——粒子平均半径

η——分散媒的黏度

g——重力加速度

在O/W乳状液中,油滴的半径越小,分散相与分散媒的密度差越小,介质黏度越大,乳浊液就越稳定。在蛋白质饮料生产过程中,用于提高乳化稳定性的方法归结起来大致有以下几种:

1.均质处理

生产上常用胶体磨和均质机对乳浊体系进行乳化和均质处理。胶体磨可使固形物颗粒细度达到2~50μm,具有乳化和预均质作用。均质机是通过剪切、空穴、撞击、爆破等作用,使悬浮粒子的粒度减少并改变粒径分布。均质效果与均质压力、温度和次数密切相关。高压和低于蛋白质变性温度的均质处理有利于蛋白浑浊饮料的稳定性。一般采用30~40MPa的均质压力。

2.使用乳化剂

关于乳化理论和主要乳化剂,可参见原料篇乳化剂一节内容,乳化剂实际也是表面活性剂。使用乳化剂的目的是为了将蛋白质和油脂等的分散相以微粒状态分散在与之不相溶的分散媒中,用有较强吸附作用的膜包裹分散粒子,防止其相互凝聚,达到稳定乳浊液的目的。由于蛋白质饮料都是O/W型乳浊液,因此一般使用HLB值8~18的亲水性强的O/W型乳化剂。常用乳化剂有蔗糖脂肪酸酯、甘油脂肪酸酯、山梨糖酐脂肪酸酯、丙二醇脂肪酸酯以及卵磷脂和酪蛋白酸钠等,可以根据蛋白质饮料种类及生产经验选用。乳化剂还有乳化稳定、浑浊以及抗菌作用等。

3.使用增稠剂

增稠剂起乳化稳定作用,它虽无明显的表面活性作用,但其水溶液具有黏性和胶体保护性,不仅提高分散媒的黏度,还可缩小两相的相对密度差,从而稳定乳浊液中的分散粒子,也是提高蛋白质饮料浑浊稳定性的重要方法。

由Stokes定律,提高分散媒的密度,使ρ2-ρ1→0,就可提高乳浊液的稳定性。另一方面,悬浮粒子的稳定性与分散媒(介质)的黏度成正比,增加分散媒的黏度,产生承托力,可以增加大粒子的沉降阻力,防止分层现象发生。

增稠剂多为水溶性高分子物质,常用的有海藻酸钠、阿拉伯胶、卡拉胶、羧甲基纤维素、果胶等。其性状和使用范围可参见原料篇增稠剂一节,其中卡拉胶,别称鹿角胶,是一种含有硫酸酯基的多糖,在很广的pH范围内为带负电的聚合物,可与带正电的蛋白质形成络合物。当pH大于等电点时,多价金属离子在蛋白质带负电的羧基与多糖的带负电的硫酸酯之间起桥接作用;当pH小于等电点时,多糖的硫酸酯与蛋白质带正电的氨基之间产生同样的静电作用使蛋白质较稳定地悬浮在体系中。卡拉胶还具有κ-酪蛋白的性质,它对酪蛋白的稳定作用高于天然的或羧化-硫酸化基的混合物。单一增稠剂虽然可以提高悬浮粒子的稳定性,但效果不很理想,可考虑两种或多种增稠剂复配使用,发挥协同效应。据报道,0.15%~0.18%果胶和0.05%~0.12%卡拉胶配伍时效果最佳。

4.添加糖

糖能在蛋白质分子表面形成糖膜,可提高蛋白质与水的亲和性。糖还能增加分散介质的黏度和密度。高浓度、多羟基糖类可在一定程度上提高蛋白浑浊饮料的稳定性。其中,蔗糖与蛋白质粒子的亲和性较好。

5.除去金属离子

金属离子(尤其是Ca2+)会使蛋白质发生盐析作用,从而降低蛋白饮料的稳定性。另外,乳蛋白中的κ-酪蛋白在酸性环境中,肽链裂开,糖基巨肽脱落,对钙敏感的αs-酪蛋白暴露,游离的Ca2+被吸附到αs-酪蛋白上,电荷减少,产生活性位置。活性位置的相互作用产生沉淀,也会导致稳定性下降。这时可添加柠檬酸盐或磷酸盐,其中,柠檬酸盐或磷酸盐的阳离子使蛋白质表面电荷增加,水合层增厚;而柠檬酸根或磷酸根离子则与游离的Ca2+结合,降低了Ca2+有效浓度,使蛋白浑浊饮料的稳定性提高,不同柠檬酸盐或磷酸盐提高蛋白浑浊饮料稳定性的效果顺序为三聚磷酸钠>焦磷酸钠>柠檬酸三钠≈磷酸氢二钠。

此外,还可加入其他钙螯合剂、离子交换树脂或采用反渗透法等来降低Ca2+有效浓度。

6.果(蔬)汁的预处理

制作果(蔬)汁蛋白浑浊饮料时,酸性环境中带正电的蛋白质与果(蔬)汁中所含的果胶、单宁等带负电的高分子物质会发生凝聚沉淀。故果(蔬)汁应先用果胶酶或纤维素酶将残留的果胶或纤维素分解成低分子化合物,同时用明胶等澄清剂除去单宁。

7.生产要点

由于蛋白饮料均有等电点问题,特别是含果汁的蛋白饮料中,既有蛋白质及果汁微粒形成的悬浮液、脂肪形成的乳浊液,又有以糖、盐等形成的真溶液,这类蛋白饮料在等电点附近容易引起凝聚和沉淀,并且易与果汁成分中的果胶、多酚、同系色素反应而凝聚沉淀。特别是如果在蛋白质中直接添加有机酸或酸性果汁,则蛋白质在等电点处会形成高强度凝乳。因此含果汁的蛋白饮料除选择适当乳化剂和乳化稳定剂外,更应在加工工艺方面进行控制。要注意乳化剂的添加顺序和添加方法,一般先用热水溶解乳化剂,稍加搅拌就可形成白色稳定的乳状液,然后再同蛋白质和脂肪等成分充分混合,再经均质。如需添加增稠剂,最好分开混合,其次序为乳化→增稠→调酸→均质→杀菌→均质。生产果汁蛋白饮料关键工序是调配,严密混合工艺和管理,掌握好调配搅拌效果、调配温度及各类原料添加顺序和方法。如果已形成高强度凝乳,这时即使再采取其他物理方法,如均质、添加添加剂等都难以保持其稳定的悬浊状态。如果生产工艺上先用乳酸菌将蛋白乳浊液发酵,在等电点形成低强度凝乳,再加入果汁或有机酸进行调配,且不断搅拌,可以得到稳定性较好的果汁蛋白浑浊饮料。

此外,还可调整果汁和蛋白乳浊液的浓度,以形成阴离子带电物质的双电层,增大蛋白质颗粒之间的静电排斥力,控制适当的杀菌温度等方法来提高蛋白饮料中悬浮粒子的稳定性。

随便看

 

离鸟网收录3541549条中英文词条,其功能与新华字典、现代汉语词典、牛津高阶英汉词典等各类中英文词典类似,基本涵盖了全部常用中英文字词句的读音、释义及用法,是语言学习和写作的有利工具。

 

Copyright © 2004-2024 vtrois.com All Rights Reserved
更新时间:2026/4/9 13:30:09