网站首页  词典首页


请输入您要查询的字词:

 

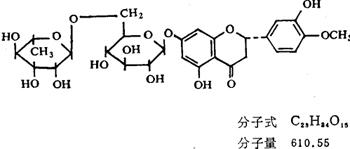
字词 橙皮素
类别 中英文字词句释义及详细解析
释义

橙皮素


橙皮素为二氢黄酮糖苷,在芸香科桔属植物的果中广泛存在,在酸桔皮和陈皮中含量较多,其它可来源于柠檬果皮、积壳、桔实等。

提取 橙皮粗粉加入水和适量石灰,搅拌均匀后以25%氢氧化钠调节pH在12~13,浸泡10~12h后压滤出液。弃去残渣,用浓盐酸调pH至3~4,于70℃保温0.5h。冷却静置,沉淀完全后抽滤收集沉淀,以水洗至中性,于80℃下干燥,此为橙皮素粗品。以甲醇为溶剂重结晶可得纯净橙皮素〔1〕

性质 细树枝状针状结晶。1g溶于50L水,略微溶于甲醇及热冰醋酸,几乎不溶于丙酮、苯及氯仿,而易溶于稀碱、热醇和吡啶。

检测 比旋光度〔α〕:-76°(c=2,吡啶)。

用途 橙皮素具维生素P样效能,用入皮肤护理制品中〔2〕,有预防冻伤的作用。能抗炎和抗病毒,有一定的抗菌作用,在口腔卫生制品中使用能抑制齿斑的生成并同时减少口臭。能防止紫外线辐射作用,可用入防晒品。

应用举例 祛齿斑透明牙膏〔3〕(W%)

文献来源〔1〕《中草药有效成分的研究》第一分册,P396;〔2〕日本专利77,44,375;〔3〕Ger.offen.DE3,314,895。

国内生产厂 上海试剂二厂。

随便看

 

离鸟网收录3541549条中英文词条,其功能与新华字典、现代汉语词典、牛津高阶英汉词典等各类中英文词典类似,基本涵盖了全部常用中英文字词句的读音、释义及用法,是语言学习和写作的有利工具。

 

Copyright © 2004-2024 vtrois.com All Rights Reserved
更新时间:2026/4/8 0:32:45