〔名称〕橡椀栲胶
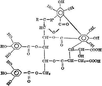
〔结构式〕
由以下七种鞣质组成
1.栗木精(R=H,R1=OH)
2.甜栗精(R=OH,R1=H)

3.栗木橡椀酸(R=H;R1=OH)
4.甜栗橡椀酸(R=OH,R1=H)

5.橡椀精酸(R=H,R1=OH)
6.异橡椀精酸(R=OH,R1=H)

7.甜栗素

〔质量规格〕

〔性质〕
1.外观为粉状或块状,易溶于水、乙醇和丙酮中。
2.与水或稀酸共煮沸或受鞣酸酶的作用,则水解为简单产物。
3.渗透速度中上,结合尚好,沉淀较多。制成的革暗黑,质地坚实。
〔制备方法〕

〔用途〕
鞣制底革
〔贮运使用注意事项〕
1.宜存放于通风、干燥、阴凉之处,不可曝晒和雨淋,注意防潮,避免变质。
2.由于颜色暗黑影响成革外观,最好与其它鞣剂配合使用。
〔生产单位〕
陕西石泉栲胶厂;成都栲胶厂;河南南阳栲胶厂;辽宁辽阳栲胶厂等。