网站首页  词典首页


请输入您要查询的字词:

 

字词 正态分布
类别 中英文字词句释义及详细解析
释义

正态分布


又称常态分布。指生产正常状态下,质量特性数据的分布情况。理论研究的结果表明:许多相互独立的因素对质量特性有关,但每一个因素的单独作用是极其微不足道的,不过它们综合的作用又是不可忽视的,这种许多因素的综合作用结果造成的分布规律,就可看成是正态分布。

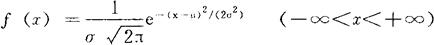
概率意义上来说:若连续型随机变量ξ的概率分布密度函数是:

则称随机变量ξ服从正态分布,ξ简称为正态变量。记作ξ-N(μ,σ2)。

随便看

 

离鸟网收录3541549条中英文词条,其功能与新华字典、现代汉语词典、牛津高阶英汉词典等各类中英文词典类似,基本涵盖了全部常用中英文字词句的读音、释义及用法,是语言学习和写作的有利工具。

 

Copyright © 2004-2024 vtrois.com All Rights Reserved
更新时间:2026/4/8 22:16:57