网站首页  词典首页


请输入您要查询的字词:

 

字词 正态总体期望μ的假设检验
类别 中英文字词句释义及详细解析
释义

正态总体期望μ的假设检验


1.σ2已知

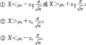
(1)原假设H0:μ=μ0

备择假设H1

①μ≠μ0(双侧检验);

②μ>μ0(右侧检验);

③μ<μ0(左侧检验).

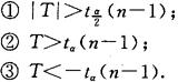
(3)给出α,H0的拒绝域(小概率事件)

②U>zα

③∪<-zα

来说,H0的拒绝域为

2.σ2未知

(1)H0:μ=μ0

H1:①μ≠μ0

②μ>μ0

③μ<μ0

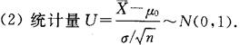
(2)统计量

(3)给出α,H0的拒绝域(小概率事件)

来说,H0的拒绝域为

随便看

 

离鸟网收录3541549条中英文词条,其功能与新华字典、现代汉语词典、牛津高阶英汉词典等各类中英文词典类似,基本涵盖了全部常用中英文字词句的读音、释义及用法,是语言学习和写作的有利工具。

 

Copyright © 2004-2024 vtrois.com All Rights Reserved
更新时间:2026/4/8 15:16:21