网站首页  词典首页


请输入您要查询的字词:

 

字词 氰钴胺素
类别 中英文字词句释义及详细解析
释义

氰钴胺素


别名 维生素B12

编码 GB 16.000

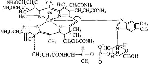
化学结构

C63H88CoN14O14P 相对分子质量 1355.38

性状 深红色结晶或结晶性粉末,无臭,无味,吸湿性强。略溶于水或乙醇,不溶于丙酮、氯仿或乙醚。水溶液在pH4.5~5.0时最稳定,加入硫酸铵能增强其稳定性。

制法

(1)以葡萄糖、玉米浆为原料,接种薛氏丙酸杆菌(Propioni bacterium shermanii)发酵。向发酵液中加入氯化钴、5,6-二甲基苯骈咪唑,经提取、干燥而成。

(2)从稀释的提取庆大霉素的发酵液或从稀释的提取链霉素后的发酵废液中提取制成。

质量标准

鉴别方法

(1)取本品约1mg,加硫酸氢钾约50mg,置坩埚中灼烧至熔融,置冷,加水3mL,煮沸使其溶解,加酚酞指示剂1滴,滴加氢氧化钠试液(4.3+100)至呈淡红色后,加乙酸钠0.5g、稀乙酸0.5mL与0.2%1-亚硝基-2-萘酚-3,6-二磺酸钠溶液0.5mL,即显红色或橙红色。加盐酸0.5mL,煮沸1min,颜色不消失。

(2)避光操作下取适量本品,加水溶解配成10mL,摇匀,用于分光光度计测定,在278nm、361nm与550nm波长处有最大吸收峰。

361nm与278nm波长吸光度的比值应为1.70~1.90。

361nm与550nm波长吸光度的比值应为3.15~3.40。

毒理学依据

GRAS FDA-21CFR 182.5945。

使用 维生素强化剂。

1.使用注意事项

(1)维生素B12参与机体内一碳单位代谢,与核酸、胆碱、蛋氨酸的合成以及糖代谢等有关。对骨髓造血功能(幼红细胞的成熟)、肝脏功能和神经系统髓鞘的完整性有一定作用。

(2)本品水溶液可在100℃消毒30min或120℃消毒15min。若消毒时间更长或温度更高,则会分解。遇氧化-还原性物质(如维生素C)、重金属盐类及微生物,均能使之失效。故应在无菌条件下避光贮存。

(3)维生素B12无水物易吸潮,暴露在空气中可吸水约12%,吸水后仍稳定。

2.使用范围及使用量 我国《食品营养强化剂使用卫生标准》(GB 14880-94)规定:可用于婴幼儿食品,使用量为10~30μg/kg;饮液,使用量2~6μg/kg。

随便看

 

离鸟网收录3541549条中英文词条,其功能与新华字典、现代汉语词典、牛津高阶英汉词典等各类中英文词典类似,基本涵盖了全部常用中英文字词句的读音、释义及用法,是语言学习和写作的有利工具。

 

Copyright © 2004-2024 vtrois.com All Rights Reserved
更新时间:2026/4/7 8:40:52