网站首页  词典首页


请输入您要查询的字词:

 

字词 水泵主要参数
类别 中英文字词句释义及详细解析
释义

水泵主要参数


水泵的性能参数有流量(Q),扬程(H),效率(η),允许吸上真空度(Hs),比转数(ns)等。

(一)流量

又叫排量或扬水量,是泵在单位时间内排出液体的数量,用体积或重量表示。

体积流量用Q表示,单位为m3/s、m3/h等。

重量流量用G表示,单位为t/h、kg/s等。

重量流量和体积流量的关系∶

G=γQ (2-8-1)

式中 γ——液体密度(t/m3)

(二)扬程

泵能提升液体的高度,用H表示。通常用米水柱作单位,简称m。

扬程,一般是指全扬程,可分为吸上扬程(用H表示)和压出扬程(用H表示)。

吸上扬程简称吸程,包括实际吸上扬程(用H实吸表示)和吸上扬程损失(用h吸损表示)两个部分。

H=H实吸+h吸损 (2-8-2)

压出扬程是泵把液体压出的高度,包括实际压出扬程(用H实压表示)和压出扬程损失(用h压损表示)两个部分。

H=H实压+h压损 (2-8-3)

实际吸上扬程与实际压出扬程之和为总的实际扬程,用H表示。吸上扬程损失与压出扬程损失之和为总的扬程损失,用h表示。所以全扬程公式表示如下∶

H=H+H (2-8-4)

H=H+h (2-8-5)

(三)转速

泵轴每分钟的转速,用n表示,单位为r/min。

(四)功率

泵的轴功率,即原动机传给泵的功率用N表示,单位为kW。

泵的重量流量和扬程的乘积称为泵的有效功率,用Ne表示,单位为kW。

式中 Q——泵流量(m3/h)

γ——液体密度(t/m3)

H——扬程(kPa)

(五)效率

有效功率与轴功率之比,用η表示。

(六)允许吸上真空高度

一般泵的样本或名牌上的允许吸上真空高度是由制造厂在标准大气压(101。325kPa)下通过输送常温(20℃)清水试验得到的。通常是将泵在临界状态下(泵因汽蚀不能正常工作时)的吸上扬程减去3kPa,作为泵的允许吸上真空高度,以HS表示。一般泵的允许吸上真空高度在25~70kPa之间。

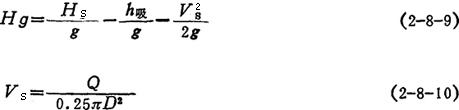
泵的几何安装高度要低于允许吸上真空高度,以如下公式计算:

式中 Hg——几何安装高度(m)

HS——允许吸上真空高度(kPa),由泵样本或性能表中查得

h——吸入管路水力损失(kPa)

VS——吸水管内流速(m/S)

D——吸水管内直径(m)

g——重力加速度(m/s2),g=9.81m/s2

(七)比转数

是水泵设计的一个重要参数,根据流量,扬程之间的关系,有较大幅度变化。比较数越大,水泵的扬程低而流量大。反之,比转数越小,水泵的流量小而扬程高。

随便看

 

离鸟网收录3541549条中英文词条,其功能与新华字典、现代汉语词典、牛津高阶英汉词典等各类中英文词典类似,基本涵盖了全部常用中英文字词句的读音、释义及用法,是语言学习和写作的有利工具。

 

Copyright © 2004-2024 vtrois.com All Rights Reserved
更新时间:2026/4/7 15:47:47