网站首页  词典首页


请输入您要查询的字词:

 

字词 永固桔黄G
类别 中英文字词句释义及详细解析
释义

永固桔黄G


别名 联苯胺橙G、115或1151颜料永固桔黄G、3010颜料、永固桔黄G、坚牢橙G、橡胶塑料橙G、永固桔红G

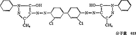
结构式

性能

质量规格(参考)

用途 主要用于油漆、涂料印花、油墨、橡胶、乳胶、聚氯乙烯等着色,亦可用于皮革、粘胶原浆着色。

包装贮运 内衬塑料袋的铁桶或纸板桶包装,每桶净重20~30kg。

国内生产厂 上海油墨厂、天津油墨厂、甘肃甘谷油墨厂、上海染化十二厂、天津染化六厂、上海松江泗联化工厂、浙江温州瑞安化工二厂、山东龙口太行颜料化工有限公司、天津大港振兴化工总公司。

随便看

 

离鸟网收录3541549条中英文词条,其功能与新华字典、现代汉语词典、牛津高阶英汉词典等各类中英文词典类似,基本涵盖了全部常用中英文字词句的读音、释义及用法,是语言学习和写作的有利工具。

 

Copyright © 2004-2024 vtrois.com All Rights Reserved
更新时间:2026/4/7 2:06:10