【结构式】:

【释文】:
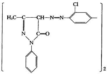
制法 由3,3′-二氯联苯胺经双重氮化后,与1-苯基-3-甲基-5-吡唑酮偶合而得。
性质 橙色粉末。分子量623.49。细度(60目筛余物)≤5%。水分≤2.5%。水溶性盐含量≤2%。吸油量50±5%。耐热性140~150℃,耐晒性5级,耐酸性5级,耐碱性4级,水渗性3级,油渗性4~5级,乙醇渗性5级,石蜡渗性5级。于浓硫酸中为蓝光橙,稀释后为红橙色沉淀。于浓硝酸中为棕光大红色。
用途 本品可作为塑料和橡胶用橙色着色剂。着色力强,耐光性、耐热性、耐酸性、耐碱性和遮盖力也较好,但透明性差,迁移性较大,特别是在高温下尤为显着,耐溶剂性较低。可酌情用于聚氯乙烯、聚丙烯、聚苯乙烯、丙烯酸树脂、ABS树脂、聚乙烯、环氧树脂、酚醛树脂、氨基树脂、不饱和聚酯、聚氨酯等树脂中。本品也可用于涂料和油墨的着色。
国内生产厂
上海染化十二厂 天津油墨厂 瑞安化工二厂
天津染化六厂 甘肃甘谷油墨厂 江苏南通染化厂
国外生产厂
