网站首页  词典首页


请输入您要查询的字词:

 

字词 永固紫RL
类别 中英文字词句释义及详细解析
释义

永固紫RL


别名 二噁嗪紫RL

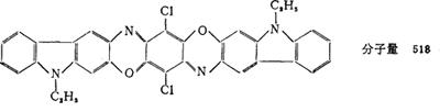
结构式

性能

质量规格(参考)

用途 主要用于印花涂料、塑料、原浆着色,亦大量使用于高级漆和高级油墨中。

包装贮运 内衬塑料袋的铁桶、胶合板桶包装,每桶净重20kg。

国内生产厂 上海油墨专用颜料厂、上海北新泾美满化工厂、江苏海门染料厂、江苏昆山蓬朗化工厂、浙江黄岩颜料化工厂、天津染化六厂。

随便看

 

离鸟网收录3541549条中英文词条,其功能与新华字典、现代汉语词典、牛津高阶英汉词典等各类中英文词典类似,基本涵盖了全部常用中英文字词句的读音、释义及用法,是语言学习和写作的有利工具。

 

Copyright © 2004-2024 vtrois.com All Rights Reserved
更新时间:2026/4/6 15:34:51