网站首页  词典首页


请输入您要查询的字词:

 

字词 永固红F4R
类别 中英文字词句释义及详细解析
释义

永固红F4R


别名 3005颜料永固红F4R、永久红F4R、坚固红F4R

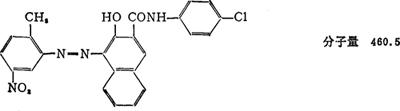
结构式

性能

质量规格(参考)

用途 主要用于制造油墨、涂料印花色浆,也适合于人造革、塑料制品、橡胶制品、文教用品的着色,油漆也可使用。

包装贮运 内衬塑料袋的铁桶、纸板桶、纤维板桶包装,每桶净重20kg。

国内生产厂 上海油墨厂、天津油墨厂、甘肃甘谷油墨厂、上海染化十二厂、天津染化六厂、上海松江泗联化工厂、浙江温州瑞安化工二厂、江苏宜兴茗岭精细化工厂、河北深县化工厂、山东龙口太行颜料化工有限公司。

随便看

 

离鸟网收录3541549条中英文词条,其功能与新华字典、现代汉语词典、牛津高阶英汉词典等各类中英文词典类似,基本涵盖了全部常用中英文字词句的读音、释义及用法,是语言学习和写作的有利工具。

 

Copyright © 2004-2024 vtrois.com All Rights Reserved
更新时间:2026/4/9 14:02:05