网站首页  词典首页


请输入您要查询的字词:

 

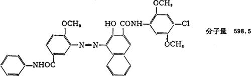
字词 永固红FBB
类别 中英文字词句释义及详细解析
释义

永固红FBB


别名 永固紫酱FBB、塑料胭脂红FBB、永久红FBB、洋红FBB

结构式

性能

质量规格(参考)

用途 主要用于油墨、油漆着色,亦用于塑料、涂料印花色浆中。

包装贮运 内衬塑料袋的铁桶、纸板桶包装,每桶净重20kg。

国内生产厂 上海染料化工一厂、天津染化六厂、山东龙口颜料化工有限公司。

随便看

 

离鸟网收录3541549条中英文词条,其功能与新华字典、现代汉语词典、牛津高阶英汉词典等各类中英文词典类似,基本涵盖了全部常用中英文字词句的读音、释义及用法,是语言学习和写作的有利工具。

 

Copyright © 2004-2024 vtrois.com All Rights Reserved
更新时间:2026/4/6 19:05:07