网站首页  词典首页


请输入您要查询的字词:

 

字词 永固艳黄H2R(1160永固艳黄)
类别 中英文字词句释义及详细解析
释义

永固艳黄H2R(1160永固艳黄)


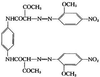
【结构式】:

【释文】:

制法 由红色基B重氮化后,与黄色酚AS-BP偶合而得。

性质 带红光黄色粉末。分子量630.58。细度(80目过筛)95%。耐热性200℃。耐光性7~8级,耐酸性5级,耐碱性5级,耐增塑剂性4~5级,水渗性4~5级,油渗性4~5级,耐迁移性5级。

用途 本品可作为塑料、橡胶和合成纤维原浆的着色剂,性能和用途与永固艳黄HGN类似。着色力高。耐光性、耐热性、耐酸碱性及耐迁移性好,并有较高的着色牢度。

国内生产厂 上海染化一厂

随便看

 

离鸟网收录3541549条中英文词条,其功能与新华字典、现代汉语词典、牛津高阶英汉词典等各类中英文词典类似,基本涵盖了全部常用中英文字词句的读音、释义及用法,是语言学习和写作的有利工具。

 

Copyright © 2004-2024 vtrois.com All Rights Reserved
更新时间:2026/4/7 3:33:01