网站首页  词典首页


请输入您要查询的字词:

 

字词 永固艳黄HGN(1130永固艳黄)
类别 中英文字词句释义及详细解析
释义

永固艳黄HGN(1130永固艳黄)


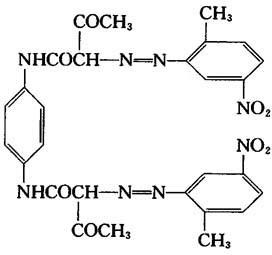
【结构式】:

【释文】:

制法 由大红色基G经重氮化后,与黄色酚AS-PB偶合而得。

性质 黄色粉末。分子量602.56。细度(80目过筛)95%。耐热性200℃。耐光性7~8级,耐酸性5级,耐碱性5级,油渗性4~5级,水渗性4~5级,耐增塑剂性5级,耐迁移性5级。

用途 本品可作为塑料、橡胶及合成纤维原浆的着色剂。着色力高。耐光性、耐热性、耐酸碱性、耐迁移性等性能优良。着色牢度较高。本品也适用于油漆和油墨的着色。

国内生产厂 上海染化一厂

随便看

 

离鸟网收录3541549条中英文词条,其功能与新华字典、现代汉语词典、牛津高阶英汉词典等各类中英文词典类似,基本涵盖了全部常用中英文字词句的读音、释义及用法,是语言学习和写作的有利工具。

 

Copyright © 2004-2024 vtrois.com All Rights Reserved
更新时间:2026/4/6 20:26:21