网站首页  词典首页


请输入您要查询的字词:

 

字词 永续年金法
类别 中英文字词句释义及详细解析
释义

永续年金法


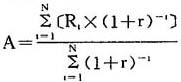
是指企业在永续经营条件下,根据预期每年平均收益额,通过本金化原,即按适用本金收益率“按利溯本”,确定整体资产价格。预期年均收益额的计算公式:

A为N年内收益折现加权平均值,R,为第i年的收益额,r为适用本金化率即折现率。

随便看

 

离鸟网收录3541549条中英文词条,其功能与新华字典、现代汉语词典、牛津高阶英汉词典等各类中英文词典类似,基本涵盖了全部常用中英文字词句的读音、释义及用法,是语言学习和写作的有利工具。

 

Copyright © 2004-2024 vtrois.com All Rights Reserved
更新时间:2026/5/28 20:10:01