网站首页  词典首页


请输入您要查询的字词:

 

字词 汉沙黄10G(耐晒黄10G,颜料黄10G)
类别 中英文字词句释义及详细解析
释义

汉沙黄10G(耐晒黄10G,颜料黄10G)


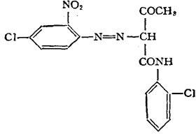
【结构式】:

【释文】:

性质 带绿光的淡黄色粉末。熔点258℃。微溶于乙醇、丙酮和苯。耐晒6~7级,耐热140~150℃,耐酸1级,耐碱1级。吸油量40±5%。油渗性1~2级,水渗性1~2级。遮盖力强。

用途 本品可作为塑料用黄色颜料。性能和用途与汉沙黄G相似。

国内生产厂 上海染化一厂 天津油墨厂

天津染化六厂 济南油墨厂

甘肃甘谷油墨厂

国外商品名

随便看

 

离鸟网收录3541549条中英文词条,其功能与新华字典、现代汉语词典、牛津高阶英汉词典等各类中英文词典类似,基本涵盖了全部常用中英文字词句的读音、释义及用法,是语言学习和写作的有利工具。

 

Copyright © 2004-2024 vtrois.com All Rights Reserved
更新时间:2026/5/27 16:09:25