网站首页  词典首页


请输入您要查询的字词:

 

字词 汉沙黄G(耐晒黄G,颜料黄G)
类别 中英文字词句释义及详细解析
释义

汉沙黄G(耐晒黄G,颜料黄G)


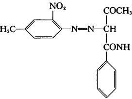
【结构式】:

【释文】:

制法 由红色基GL经重氮化,与乙酰乙酰基苯胺偶合而得。

性质 淡黄色粉末。于浓硫酸中呈金黄色。熔点256℃。耐晒6~7级,耐热150~160℃,耐酸1级,耐碱1级,水渗性2级,乙醇渗性1~2级,石蜡渗性1级。吸油量40士5%。微溶于乙醇、丙酮和苯。

规格 GB 3679-83

用途 本品可作为塑料用黄色颜料,具有良好的耐光性、耐水性、耐酸性和耐碱性,耐热性亦可,但耐溶剂性差,易迁移和渗析结垢,易升华,着色性一般,主要用于酚醛树脂、脲醛树脂、丙烯酸树脂和氨基树脂等,在其它塑料中使用不多。本品也可作为天然橡胶干胶或胶乳的着色剂,与硫黄共热时的变色温度高于140℃,在天然橡胶热空气硫化、蒸汽硫化及模压硫化中,胶料的色稳性好,硫化胶的耐晒和耐沸水稳定性亦好。但本品在橡胶中迁移性较大,在碱、苯、汽油中的渗色性较大。

国内生产厂

天津染化六厂 济南油墨厂 甘肃甘谷油墨厂

天津油墨厂 上海染化一厂

国外生产厂

随便看

 

离鸟网收录3541549条中英文词条,其功能与新华字典、现代汉语词典、牛津高阶英汉词典等各类中英文词典类似,基本涵盖了全部常用中英文字词句的读音、释义及用法,是语言学习和写作的有利工具。

 

Copyright © 2004-2024 vtrois.com All Rights Reserved
更新时间:2026/4/7 1:06:36