网站首页  词典首页


请输入您要查询的字词:

 

字词 污水处理方法
类别 中英文字词句释义及详细解析
释义

污水处理方法


(一)污水处理的方法

(1)物理法(沉淀、过滤、浮选、筛滤、灌溉);

(2)化学法(中和、凝集、氧化、吸附及离子交换);

(3)生物法(氧化池法、生物膜法、活性污泥法、厌氧法)。

肉类加工厂的生产污水含有供微生物生长繁殖所需要的氮、磷及营养成分,适宜采用生物法净化处理。

(二)污水生物法处理的常用方法

1.活性污泥法

这是一种需氧性生物处理:污水中溶解的氧供给需氧微生物在污水中大量繁殖,形成活性絮凝体即为活性污泥。活性污泥在污水中吸附有机物并将其氧化降解生成的新活性污泥继续使用,多余的活性污泥被排出,作为燃料或肥料,从而使污水净化,其流程见图4-5-1。

图4-5-1 活性污泥法流程示意图

为了提高活性污泥在污水中吸附氧化分解的效率,一般采用机械方法向污水中注入大量空气,所以形成浅层曝气、中层曝气、射流曝气等活性污泥净化处理法。

2.生物膜法

污水中的有机物质被固定的生物膜吸附,在有氧的条件下,有机物被氧化分解,形成污泥排出,从而使污水被净化。现在已大量使用的生物转盘处理装置就是在面积大、重量轻的转盘上固定生物膜,转盘以低速(2r/min)半浸没在污水中(浸没40%)旋转时,污水中有机物被转盘上的生物膜吸附并氧化,其处理流程见图4-5-2。

图4-5-2 生物膜法处理流程示意图

3.厌氧法

该方法是利用厌氧微生物对污水中的有机物降解:厌氧微生物把污水中的含碳有机物经过水解、酸化、产醋酸、产甲烷几个阶段分解为甲烷和二氧化碳,同时把部分有机物合成为细菌细胞,通过气、液、固三相分离使污水被净化,其处理流程见图4-5-3。

图4-5-3 厌氧法处理流程示意图

(三)几种生物处理法的比较(表4-5-3)

表4-5-3 各种处理方法比较

注:+++——优良,++——良好,+——较好,〇——差,H——高成本,A——平均成本,L——低成本。

(四)组合处理法

单一一种方法处理污水都有一定的缺点,组合处理法对污水处理可以进一步提高工效、节能、适应污水性质和排放特点。

1.生物法与物理法结合

污水用生物法处理前都采用沉淀、过滤方法以除去污水中碎油、肉、骨块、废肠、猪毛等物,以减低污水浓度,减少污水处理量,并可节能。

2.几种生物法处理结合

目前生物片处理已从传统污泥法发展到生物膜法和生物接触氧法联合,从单一需氧处理发展到需氧、厌氧联合处理等,以获得投资少、处理效果好、污水处理装置运行费用低、管理人员少、管理方便的效果。污水联合处理方法举例及其流程见图4-5-4、图4-5-5和图4—5-6。

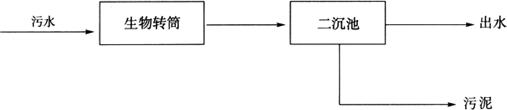
图4-5-4 生物转筒接触氧化法流程示意图

图4-5-5 兼氧两级射流曝气生物接触氧化流程示意图

*兼氧调节池中兼性微生物分解作用去除一定有机物提高污水可生化性,同时对污水量起调节作用

图4-5-6 好、厌氧生物法与药物化学联合处理流程示意图

*凝集剂种类见表4-5-4、表4-5-5

表4-5-4 高分子凝集剂

表4-5-5 无机凝集剂

随便看

 

离鸟网收录3541549条中英文词条,其功能与新华字典、现代汉语词典、牛津高阶英汉词典等各类中英文词典类似,基本涵盖了全部常用中英文字词句的读音、释义及用法,是语言学习和写作的有利工具。

 

Copyright © 2004-2024 vtrois.com All Rights Reserved
更新时间:2026/4/9 14:39:43