网站首页  词典首页


请输入您要查询的字词:

 

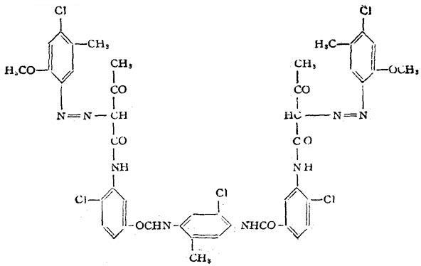
字词 汽巴黄3G
类别 中英文字词句释义及详细解析
释义

汽巴黄3G


【结构式】:

【释文】:

用途 本品为不溶性双偶氮类黄颜料,可作为塑料着色剂。耐晒性、耐热性和耐迁移性优良。但有致癌之嫌。

国外商品名

随便看

 

离鸟网收录3541549条中英文词条,其功能与新华字典、现代汉语词典、牛津高阶英汉词典等各类中英文词典类似,基本涵盖了全部常用中英文字词句的读音、释义及用法,是语言学习和写作的有利工具。

 

Copyright © 2004-2024 vtrois.com All Rights Reserved
更新时间:2026/4/9 7:07:57