网站首页  词典首页


请输入您要查询的字词:

 

字词 汽轮机
类别 中英文字词句释义及详细解析
释义

汽轮机


(一)汽轮机组的型式

按进汽参数,汽轮机组可分为低压、次中压、中压和高压机组,常见压力等级见表3-5-65。

表3-5-65 压力等级划分

按热力特性汽轮机组可分为背压式、抽汽背压式、抽汽冷凝式和冷凝式几种。

1.背压式汽轮机 是一种不设凝气器的汽轮机。根据所定压力(背压)、温度,对用户送汽、供热。主要优点是:没有冷凝损失,蒸汽的全部热量都能使用;可以省去冷凝系统的设备和管道,系统简单,投资费用最低;最适于高速运转,结构简单,运行十分可靠。它的主要缺点是:进汽量受蒸汽用户的限制;热负荷波动时,电负荷需随之波动,用热负荷不稳定,出轴功率便受到限制,以致不能充分利用装置容量。

由于上述缺点,背压式汽轮机多用作热负荷全年稳定的企业自备热电站或有稳定的基本热负荷的区域性热电站。

2.抽汽式汽轮机 从汽轮机某一级中(也可以两级、三级),抽出大量已经作了部分功的蒸汽,供给热用户或工艺过程使用。又可分抽气背压式和抽汽凝汽式两种。抽汽背压式汽轮机能供多压力等级蒸汽,经济性与背压式机组相似,设计工况下经济性好,但对负荷变化的适应性差。

抽汽凝汽式主要优点是灵活性较大,能够在较大范围内同时满足热负荷和电负荷的需要。

3.凝汽式汽轮机 进入汽轮机的新蒸汽在作功后全部排入凝汽器凝结成水。是单纯用于发电的汽轮机。优点是:负荷波动时,新蒸汽量变化较小,只影响锅炉蒸汽参数变化;焓降大,汽耗低。缺点是:蒸汽在低压缸比容大,因此汽轮机叶片长,叶片自振频率低,从而增加了发生激振的危险;汽机体积大,附属设备多,投资大,而且降低了系统的可靠性;热经济性差,冷凝损失约为55~70%;对锅炉给水的品质要求高。

各型汽轮机特性比较如表3-5-66。

表3-5-66 热电站常用汽轮机组特性表

(二)小型热电站供热机组的选择原则

要按“热电联产,以热定电“的基本原则,综合本地区供电状况和热负荷的需要,以及国内供热机组的产品系列和运行情况,通过技术经济比较确定。技术经济比较主要是初步计算装置的能量(热能、电能)平衡,作出蒸汽平衡图,弄清用汽量、用汽压力与凝结水的回收和损失。然后根据以下原则或经验,选择供热机组:

(1)在保证安全、经济运行条件下,尽量选择较高参数和较大容量(如6000kW以上的次高压机组),机炉台数不宜过多。

(2)对热负荷稳定的供热区,采暖期与非采暖期的热负荷相差不大,以供应生产用汽为主的热电站,应优先选用背压式汽轮机组,其额定功率宜按全年的基本热负荷确定。因为它热能利用最充分,循环效率最高,投资最省。

(3)对热负荷不稳定的供热区,应认真分析各类热负荷的性质和所占比重。如果主要热用户的热负荷较平稳,可以此为基本热负荷,经过技术经济比较后,再决定选择背压式或抽汽背压式机组。

①当工艺所需蒸汽的压力等级在两个或两个以上,且汽量常有变化时,可以考虑选用抽汽背压式汽轮机。如主要热用户的热负荷波动较大,背压式或抽汽背压式机组仍不能满足经济运行时,一般可采用锅炉房集中供热。

②对热负荷基本稳定的供热区,为了减少区内某些工段停产或检修用电对电网的依赖,可选用背压式机组与背压凝汽式机组的组合运行方式。

(4)当采暖期与非采暖期热负荷相差较大时,可采用背压式与抽汽冷凝式机组联合供热或背压式机组与尖峰期锅炉联合供热的方案,通过技术经济比较并考虑环保要求后确定。

(5)为了提高投资的经济效益,供热区新建热电站时,一般不设备用锅炉,应尽量利用供热区内原有容量较大、运行条件较好的锅炉作为热负荷高峰的备用设备。扩建热电站时,备用锅炉的设置要根据热负荷的性质和大小来确定。

(6)热电站供热设备的容量,按下列原则确定:

①当最大一台锅炉停运时,其余锅炉(包括供热区内已确定作为备用的锅炉)的出力应能满足热用户连续生产所需的生产用汽量:一般应为采暖、通风和生活用热量的65%~75%,严寒地区取上限。

②装有背压式或抽汽式汽轮机的热电站,应按每种排汽或抽汽参数,设置一套备用减压、降温装置,其出力应等于最大一台汽轮机的最大排汽量或抽汽量。

③任何一台汽轮机停运时,其余汽轮机若能提供采暖、通风和生活用热量的65~75%时,可不装设采暖用汽的减压、降温装置。

(7)在选择供热式电站锅炉时,汽轮机组的进汽量不得小于锅炉的最低允许出力,以保证锅炉的安全稳定运行。

(8)选择与供热机组匹配的锅炉时,应考虑对燃料的适应性以及对灰渣综合利用的可能性。

(9)热电站一般不配置凝汽式机组。只有在个别严重缺电或热电负荷不平衡且燃料较便宜的地区,为了同时满足热电负荷的需要,可以考虑适当配置冷凝机组或背压冷凝机组。

(10)对于同一热电站,机组的型号与制造厂,应尽可能与配套的辅机一致,以减少电站的检修工作量和备品备件的储备量。

(三)小型热电站机炉的配置

由于主蒸汽管道一般均采用母管制,热电站的背压式、抽汽背压式或抽汽凝汽式机组与锅炉,没有固定的配套方式,应根据热电站的热电负荷情况与汽轮机组的抽(排)汽参数等进行综合平衡,经多方案的技术经济比较后,确定机炉的最佳配置方式。

(四)中、小型汽轮机系列简介

如前所述,小型热电站常用的汽轮机常按进汽参数和热力特性分类。

我国对各类汽轮机产品系列的各种参数均有规定。背压式汽轮机的背压参数见表3-5-67;抽汽式汽轮机的调整抽汽参数见表3-5-68;凝汽式汽轮机的排汽参数见表3-5-69。

表3-5-67 背压式汽轮机的背压参数系列〔MPa(ata)〕

表3-5-68 抽汽式汽轮机的调整抽汽压力参数系列〔MPa(ata)〕

表3-5-69 凝汽式汽轮机排汽参数系列

我国各主要汽轮机制造厂所生产的中小型汽轮机组的供货范围,一般包括汽轮机本体和各主要系统(主蒸汽系统、汽封系统、给水回热系统、本体疏水系统、油系统和调节保安系统)的主要辅助设备。

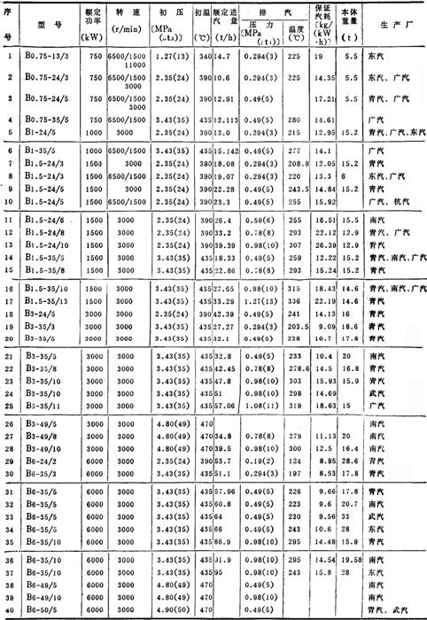
常用的国产中、小型汽轮机的型号、规格、参数特性和主要生产厂详见表3-5-70至表3-5-73。

表3-5-70 国产中小型背压式汽轮机

注:生产厂简称:青汽——青岛汽轮机厂;南汽——南京汽轮电机厂;杭汽——杭州汽轮机厂;武汽——武汉汽轮机厂;东汽——东方汽轮机厂;广汽——广州汽轮机厂;上汽——上海汽轮机厂;北重——北京重型电机厂。

表3-5-71 国产中小型抽汽式汽轮机

表3-5-72 国产中小型抽汽背压式汽轮机

表3-5-73 国产中小型凝汽式汽轮机

除上述各型汽轮机外,杭州汽轮机厂还从国外引进技术,生产积木块系列多级工业汽轮机。它是采用积木块系统和通流部分计算机优化进行设计的。汽轮机分成若干区段,可根据用户的要求,将所需要的区段组合起来,再配上各类相应的部件,即成各种不同类型的汽轮机。这些汽轮机具有效率高、运行安全可靠等优点。表3-5-74为该厂已生产的积木块汽轮机的型号及主要参数。

表3-5-74 多级工业汽轮机技术参数范围

注:符号说明:N——外缸受常压 M——外缸受中压 H——外缸受高压 G——背压式汽轮机 E——抽汽式汽轮机 K——凝汽式汽轮机 W——双流式汽轮机

(五)汽轮发电机组效率

设计工况下的汽轮发电机组的各种效率,可以从制造厂提供的资料中得到。

1.汽轮机的相对内效率ηxn汽轮机的相对内效率表示汽轮机的有效焓降与等熵焓降(绝热焓降)之比。

式中 h0——汽轮机进汽初焓,(kJ/kg)

hxn——汽轮机实际排汽焓(kJ/kg)

hnl——汽轮机理想过程(等熵过程)的终焓(kJ/kg)

汽轮机相对内效率,考虑了汽轮机中蒸汽在流道中的各种内部损失:如摩擦、涡流动、静叶片之间的漏损等,是表示汽轮机内部工作完善程度的指标。其相对内效率越高,说明汽轮机结构越完善,技术越先进。

2.机械效率ηf表示考虑机械损失后汽轮机联轴器端输出功率(有效功率)NYX与汽轮机内功率Nnb之比。

无回热抽汽时,汽轮机的内功率为:

式中 D0——汽轮机的进汽量(kg/h)

有回热抽汽时,汽轮机的内功率为:

式中 Di——各级抽汽或排汽的蒸汽流量,(kJ/kg)

⊿hi——各级抽汽或排汽的有效焓降(kg/h)

n——汽轮机通流部分按抽汽划分的段数

汽轮机的内功率Nnb传至汽轮机联轴器端的有效功率NYX必然会产生各种机械损失⊿Nj,这些机械损失包括各种机械摩擦阻力损失、主油泵及油系统消耗的功等。

3.发电机效率ηd表示考虑发电机的电磁、机械和鼓风损失后,发电机输出的电功率Nd与汽轮机输出功率NYX之比。

4.汽轮发电机组的绝对电效率ηjd表示发电机输出的电功率与汽轮机进汽在锅炉中的总吸热量之比。

(1)背压式汽轮发电机组

式中 D0——汽轮机的进汽量(kg/h)

h0——汽轮机的进汽焓(kJ/kg)

hb——汽轮机的背压排汽焓(kJ/kg)

(2)抽汽式汽轮发电机组

式中 ——汽轮机的排汽量,(kg/h)

——锅炉给水焓,(kJ/kg)

Di、⊿hi意义同式(3-5-66)

对于背压式汽轮发电机组和抽汽式汽轮发电机的绝对电效率的计算,是假定汽轮机组的排汽或抽汽的全部蒸汽均加以利用。

(3)凝汽式汽轮发电机组

(4)回热循环热效率(机组热效率)

式中 h1c,h2c………hnc——汽轮机各级抽汽焓(kJ/kg)

α1c,α2c…αnc——汽轮机各级抽汽份额

hn——汽轮机排汽焓(kJ/kg)

αn——汽轮机排汽份额

(5)汽轮机相对内效率、机械效率及发电机效率的常见数值如下:

汽轮机额定功率(kW) 750~6000 12000~2500

汽轮机相对内效率ηxn 0.7~0.8 0.75~0.85

汽轮机机械ηj 0.95~0.98 0.97~0.99

发电机效率ηd 0.93~0.96 0.96~0.97

(六)汽轮发电机组热经济性指标

1.热耗率q 机组每生产1kW·h电所需要的热量,可表示为:

式中 Q0——汽轮机组进汽在锅炉中的总吸热量(kJ/h),对具有回热抽汽的汽轮机Q0=D0(h0-hgs)

2.汽耗率d 机组每生产1kW·h电所需要的蒸汽量,可表示为:

对背压式汽轮机组:

对抽汽凝汽式汽轮机组、凝汽式汽轮机组:

背压式和抽汽背压式汽轮发电机组的汽耗率和热耗率数值与机组的型式、容量,初、终参数等有关,可以从有关的产品中查取。

凝汽式汽轮发电机组的汽耗率的一般数值见表3-5-75。

表3-5-75 凝汽式汽轮发电机组热经济指标

(七)汽轮机组运行振动标准 工业汽轮机由于转速高,而且要求有一定的变速范围,一般在额定转速的80~105%范围内运转(除汽轮发电机组外),故产生振动或共振的可能性也大。为保证工业汽轮机的安全运行,除设计和制造对汽轮机转子的动平衡和允许振幅值提出严格要求外,安装的质量也会带来直接的影响。

国际电工委员会(IEC)和国际标准组织(ISO)联合推荐的汽轮机允许振动值,见表3-5-76。

表3-5-76 汽轮机允许振动值

我国水电部制定的汽轮机组振动标准,见表3-5-77。

表3-5-77 我国水电部制定的汽轮机组振动标准

随便看

 

离鸟网收录3541549条中英文词条,其功能与新华字典、现代汉语词典、牛津高阶英汉词典等各类中英文词典类似,基本涵盖了全部常用中英文字词句的读音、释义及用法,是语言学习和写作的有利工具。

 

Copyright © 2004-2024 vtrois.com All Rights Reserved
更新时间:2026/4/7 7:25:52