网站首页  词典首页


请输入您要查询的字词:

 

字词 油脂的检验
类别 中英文字词句释义及详细解析
释义

油脂的检验


(一)采样

1.动物油脂

(1)采样数量:

1~100件以内 按10%采样品,但不能少于5件

100~500件 增加采样5%

500~1000件 增加采样4%

1000~5000件 增加采样2%

5000件以上 增加采样1%

每件要在不同的部位上采样,采样数量100~250g。

(2)采样方法:启开被检验的桶盖,将半圆形采样器(如图4-2-28)背面向上,斜插入底部。旋转采样器,使样品填满采样器内,取出之后,用竹签刮入混样器中并置热水浴上至油脂融化为止,倒入采样瓶内,供分析测定用。

图4-2-28 散装油采样器

2.植物油

(1)扦样工具:

①扦样管:适用于桶装油扦样。

②扦样筒:适用于散装油扦样。

③样品瓶:磨口瓶,容量1~4kg。

(2)扦样方法:

①桶装油扦样法,扦样规定如下:

7桶以下:逐桶扦样;

10桶以下:不少于7桶;

11~50桶:不少于10桶;

51~100桶:不少于15桶;

101桶以上:按不少于总桶数的15%扦样。扦样的桶点数要分布均匀。

扦样:先将油脂搅拌均匀,将扦样管缓慢地自桶口斜插至桶底,然后堵压上口提出扦样管,将油样注入样品瓶内。如指定扦取某一部位油样时,先用拇指堵压扦样管上孔,插至要扦取的部位放开拇指,待扦取部位的油样进入管中后,立即堵压上孔提出,将油样注入样品瓶内。如扦取的样品数量不足1kg时,可增加扦样桶数,每桶扦样数量一致。

②散装油扦样法:散装油以一个油池、一个油罐、一个车槽为一个检验单位。

分层:按散装油高度,等距离分为上、中、下三层,上层距油面约40cm处;中层在油层中间;下层距油池底板40cm处,三层扦样数量比例为1∶3∶1(卧式油池、车槽为1∶8∶1)。

扦样数量规定如下:

550t以下:不少于1.5kg;

501~1000t:不少于2.0kg;

1001t以上:不少于4.0kg。

扦样:将扦样筒关闭筒塞,沉入扦样部位后,提动筒塞上的细绳,让油进入筒内,提起样筒扦取油样。

③输油管流动油取样:根据油脂数量和流量,计算流动时间,采用定时、定量法用油勺在输油管出口处取样。

(3)分样方法:将扦取的油脂样品,经充分摇匀,混合均匀后,分出1kg作为平均样品使用。

(二)感官检验

1.植物油

(1)植物油色泽(GB/T 5009.37-1996)。将样品混匀并过滤,然后倒入烧杯中,油层高度不得小于50mm,在室温下先对自然光观察,然后再置于白色背景前借其反射光线观察,并按下列词句记述:白色、灰白色、柠檬色、淡黄色、黄色、橙色、棕黄色、棕色、棕红色、棕褐色等。

(2)植物油气味及滋味(GB/T 5009.37-1996)。将样品倒入150mL烧杯中,置于水浴中,加热至50℃,以玻璃棒迅速搅拌。嗅其气味,并蘸取少许样品,辨尝其滋味,然后按正常、焦煳、酸败、苦辣等词句记述。

(3)植物油透明度。将油样混匀后,置于50℃水浴上加热30min,冷却至20℃时,混匀。取油样100mL置于比色管中,在20℃温度下静置24h(放恒温箱中保温),先向着光线观察,然后置白色背景上借反射光观察,如无絮状浮悬物以及混浊,即为透明。

2.固体油脂

包括奶油(GB 15196-1994)、食用猪油(GB/T 8937-1988)和氢化油(GB 17402-1998)等。

(1)气味及滋味。动物油脂在室温下(15~20℃),油脂用压舌板或竹片在洁净的玻璃片上涂成薄层,测定其气味和滋味。对于氢化油、人造奶油同1(2)法,气味按酸败气、臭气、腥气、霉气、牛奶气、奶油香气等词句记述,滋味以甜、酸、苦、辣、咸、平淡、可口等词句记述。

(2)透明度。将油脂置水浴上熔化后,注入无色、透明、干燥而洁净的20mm×200mm的试管中,先向着光线观察,然后置白色背景上借反射光线观察,如无悬浮物及混浊物,认为透明。

(3)色泽。将测定透明度样品的试管置冷水内使之恢复原来的组织状态(在15℃左右水中放2h),当油脂在15~20℃时,置白色背景上反射光观察其色泽,以确定其等级。

(4)状态。用洁净玻璃棒轻轻拨动平皿中的样品,探试其硬软程度,并按下列词句记录:硬固体、固体、半固体、稠胶体、半流体等。

用洁净玻璃棒挑起样品一小块,置于洗净的食指头上,用拇指与食指搓揉,细心体会手指的感觉,然后按粗糙、有小颗粒、细腻等词句记述。

(三)理化检验

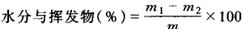
1.植物油水分及挥发物的测定(GB/T 5528-1995)

在油脂质量标准中水分及挥发物含量是一项重要项目,对评定油脂的品质和保证油脂安全储藏都具有重要意义。由于各种油脂的性质不同,半干性油和干性油在空气中加热时,易被空气中的氧氧化,而造成质量的增加。在加热烘干油脂过程中,不仅油脂中水分受热蒸发,而且油脂中微量的挥发性物质也挥发逸出,因此测定结果叫做水分及挥发物的含量。

测定油脂水分及挥发物含量的方法很多,电烘箱103℃恒重法适于不干性油,电热板法适于不干性油和半干性油,真空烘箱法则适用不干性油、半干性油和干性油。

(1)烘箱法(不适用于干性油及半干性油):精确称取混合均匀的油样5~10g(准确称至0.001g),置于已知恒重的称量瓶中(直径50mm,高为30mm),放入100~105℃烘箱中烘40min,取出置干燥器内冷却称量,以后每干燥20min放冷称量一次,直到连续2次称量之差不超过0.001g时认为已恒重。如果遇到连续称量中重量增加时,则依前一次的最低重量为测算结果。

(2)电热板法(适用干性油及半干性油):取50mL烧杯与细玻璃棒各一个,在杯内称取均匀的油样20g(准确至0.001g),另取烧杯一个,注入同样体积的油样(测温度用),将2个烧杯置于温度均匀的电热板上,加热至130℃,随时搅拌,保持15min,检查水分是否除尽(可用干燥表面皿覆盖杯口,如有凝结水粒即为水分未除尽)。水分除尽后停止加热,置干燥器内放冷后称重。

计算:

式中 m1——油样与烧杯质量(g);

m2——干燥后油样与烧杯的质量(g);

m——油的质量(g)。

注意:

在2个烧杯内样品的重量应相近,操作要一致,温度计水银球应全部浸入油内,但不要与杯底接触。

2次测定水分的油样平行结果允许差不超过0.04%。

2.动物油脂水分的测定

于直径为50mm的称量瓶中,放入5~6g洁净、灼烧过的细沙,并放入一根短小的玻璃棒。置100~105℃烘箱中2h,置干燥器中15min后称量,直到恒重。加入油样3~5g,用玻璃棒充分搅拌后称量(称准至0.0002g)。将上述称量瓶于烘箱内在100~105℃干燥1h,置干燥器中冷却15min称量。以后每干燥30min称一次,直到连续2次称量之差不超过0.001g为止。但干燥过程不要超过3h,温度不得超过105℃,也不应低于100℃。

计算:

式中 m1——盛有细沙、玻棒及油脂的称量瓶在干燥前的克数(g);

m2——盛有细沙、玻棒及油脂的称量瓶在恒重时的克数(g);

m——样品质量(g)。

注意:

如在干燥过程中发现有质量反而增加时,可能是脂肪氧化所致或是被污染,其结果应以最低量计算。在测定精炼猪油的水分时,不要加沙,取样置称量瓶中,直接在100~105℃烘箱中干燥1h,置干燥器内15min后称量,以后每干燥30min称量一次,直到连续2次称重之差不超过0.001g为止。

3.植物油碘价测定(GB/5532-1995)

(1)原理:在溶剂中溶解试样并加入wijs试剂,在规定的时间后加入碘化钾和水,用硫代硫酸钠溶液滴定析出的碘。

碘价:试样在本标准规定的操作条件下吸收碘的质量。用每100g样品吸收碘的克数表示。

(2)试剂和溶液:本标准所列试剂均为分析纯,水为蒸馏水。

①碘化钾溶液(100g/L):不含碘酸盐或游离碘。

②淀粉溶液:将5g可溶性淀粉在30mL水中混合,加此混合液于1000mL沸水中煮沸3min并冷却。

③硫代硫酸钠标准溶液(0.1mol/L):配制和标定按GB 5490-1985进行。标定后7d内使用。

④溶剂:环己烷和冰乙酸等体积混合液。

⑤试剂:含一氯化碘的乙酸溶液。

称9g三氯化碘溶液溶解在700mL冰乙酸和300mL环己烷的混合液中。取5mL上述溶液加5mL碘化钾溶液(2①)和30mL水,用几滴淀粉溶液(2②)作指示剂,用0.1mol/L硫代硫酸钠标准溶液(2③)滴定析出的碘,滴定体积V1

加10g纯碘于试剂中,使其完全溶解。如上法滴定,得V2。V2/V1应大于1.5,否则可稍加一点纯碘直至V2/V1略超过1.5。

将溶液静置后将上层清液倒入具塞棕色试剂瓶中,避光保存,此溶液在室温下可保存几个月。

(3)仪器、设备:

①分析天平:感量0.1mg。

②玻璃称量皿:与试样量适宜并可置入锥形瓶中。

③锥形瓶:容量500mL,具塞并完全干燥。

(4)试样制备:

按GB/T 15687-1995制备试样。

(5)分析步骤:

①称样:试样的质量根据估计的碘价而异,如表4-2-25所示。

表4-2-25 估计的碘价与试样的质量关系

②将称好试样的称量皿放入500mL锥形瓶中,加入20mL溶剂2④溶解试样,准确加入20mL wijs试剂2⑤盖好塞子,摇匀后将锥形瓶置于暗处。

同样用溶剂和试剂制备空白但不加试样。

对碘价低于150的样品锥形瓶应在暗处放置1h,碘价高于150和已经聚合的物质或氧化到相当程度的物质,应置于暗处2h。

③测定。反应时间结束后加20mL碘化钾溶液2①和150mL水。

用标定的硫代硫酸钠标准溶液2③滴定至浅黄色。加几滴淀粉溶液2②继续滴定,直到剧烈摇动后蓝色刚好消失。

④测定次数。同一试样进行2次测定。

(6)结果计算:

①碘价按每100g样品吸收碘的克数表示时由下式计算:

式中 c——硫代硫酸钠溶液的标定浓度(mol/L);

V1——空白试验所用硫代硫酸钠标准溶液的体积(mL);

V2——测定所用硫代硫酸钠标准溶液的体积(mL);

m——试样的质量(g)。

植物油碘价的测定常用氯化碘-乙酸溶液法(韦氏法),其结果要比理论值略高(1%~2%)。本法不适用于乳化脂肪,如人造奶油等。

②平行测定结果符合允许差要求时,以其算术平均值作为结果。

③重复性:由同一分析者用同样设备对同一试样同时或连续进行2次测定的结果允许差不超过0.5碘价单位。

4.皂化价测定(GB/T 5534-1995)

根据油脂皂化价结合其他检验项目,对油脂的种类和纯度进行鉴定。我国植物油国家标准中给出了各种色拉油、高级烹调油的皂化价特征指标:大豆色拉油、高级烹调油皂化价188~195mg KOH/g,菜籽色拉油、高级烹调油皂化价168~182mg KOH/g,花生色拉油、高级烹调油皂化价187~196mg KOH/g,棉籽色拉油、高级烹调油皂化价189~198mg KOH/g,葵花籽色拉油、高级烹调油皂化价188~194mg KOH/g,米糠色拉油、高级烹调油皂化价179~195mg KOH/g。

(1)方法原理:利用油脂能被碱液皂化的特性,先在油样中加入过量的碱醇溶液共热皂化:

C3H5(OCOR)3+3KOH==C3H5(OH)3+3RCOOK

待皂化完全后,用盐酸标准溶液滴定剩余的碱,同时做空白试验。由所消耗碱液量计算出皂化价。

(2)试剂:

①0.5mol/L KOH乙醇溶液。

②0.5mol/L KCI标准溶液。

③1g/100mL酚酞乙醇溶液或2g/100mL碱性蓝6B乙醇溶液。

④玻璃珠或瓷粒(助沸物)。

(3)仪器和用具:

①锥形瓶:250mL,耐碱玻璃制成,带有磨口。

②回流冷凝管:带有连接锥形瓶的磨口玻璃接头。

③加热装置:水浴锅或电热板(不能用明火加热)。

④滴定管:50mL,最小刻度为0.1mL。

⑤25mL移液管。

⑥感量0.001g天平。

(4)操作方法:称取混匀试样2g(mL,准确至0.005g),注入锥形瓶中,用移液管加入0.5mol/L氢氧化钾溶液25mL,并加入一些助沸物,连接回流冷凝管与锥形瓶,将锥形瓶放在加热装置上慢慢煮沸,不时摇动,维持沸腾状态1h。难于皂化的需煮沸2h。

加入0.5~1mL酚酞指示剂,趁热用0.5mol/L盐酸标准溶液滴定至红色消失。如果皂化液是深色的,则用0.5~1mL的碱性蓝6B溶液。

同时进行空白试验。

(5)结果计算:植物油皂化价按下面公式计算:

式中 V1——滴定试样用去的盐酸溶液体积(mL);

V2——滴定空白用去的盐酸溶液体积(mL);

c——HCI溶液的浓度(mol/L);

m——试样质量(g);

56.1——KOH的摩尔质量(g/mo1)。

双试验结果允许差不超过1.0mg KOH/g油,求其平均数,即为测定结果。测定结果取小数点后一位。

(6)说明:

①制备稳定的无色氢氧化钾乙醇溶液,可采用下述方法:称取8g氢氧化钾和5g铝片,加入1000mL乙醇,加热回流1h,然后立即进行蒸馏。溶解需要量的氢氧化钾于馏出液中,静置数日后,用虹吸法将碳酸钾沉淀上面的清液吸出,贮于棕色玻璃瓶中备用。

也可以不用蒸馏的方法制备稳定的氢氧化钾溶液:在1000mL乙醇中加入4mL丁酸铝,静置数日后,慢慢倒出上层清液,溶解需要量的氢氧化钾于上清液中,静置数日后,倒出清亮的上层清液备用。

②试样应澄清无显着杂质。如杂质过大,在测定前应加以过滤。试样的用量应视皂化价的大小而定,一般要求试样的质量调整到滴定试样所耗盐酸溶液为滴定空白时所耗盐酸溶液的45%~55%。例如:棉籽油的皂化价约为195,当空白和试样均加入0.5mol/L氢氧化钾溶液25mL时,试样用量计算如下:

即:棉籽油试样用量应在1.62~1.98g。

③皂化完毕后,应趁热迅速滴定,既可避免碱液吸收空气中二氧化碳影响测定结果,又可避免因冷却钾肥皂凝结(冬季时尤要注意)而无法滴定。

④滴定过程中如溶液出现混浊,是由于盐酸溶液带入水量过多(水∶乙醇超过1∶4),此时应补加适当数量的无水乙醇以消除混浊,再进行滴定。

⑤根据植物油皂化价鉴定油脂的纯度:如大豆油的皂化价应不小于188,由于存在外来的杂质而增加不皂化物的量,使该油样的皂化价变为172,则该批大豆油纯度为:

5.烟点的测定(GB 7653-1987)

烟点又称发烟点,是油脂接触空气加热时对它的热稳定性的一种量度。是指在避免通风并备有特殊照明的实验装置中,加热时第一次呈现蓝烟时的温度。

烟点可用做植物油精炼程度的指标。精炼好的植物油烟点在205~220℃,未精炼好的植物油如香油等的烟点在160~170℃。油脂如果长时间加热,烟点会逐渐降低。所以,油脂于高温下煎炸食品时,其烟点与油炸作业性及产品合格率有关。我国植物油标准将烟点作为各种色拉油、高级烹调油质量标准的一项。质量指标见表4-2-26。

表4-2-26 植物油烟点质量标准

(1)仪器和用具:

①检验箱 如图4-2-29(1)。

图4-2-29(1) 检验箱

②0~300℃温度计 如图4-2-29(1)。

③样品杯 如图4-2-29(2)。

图4-2-29(2) 样品杯

④加热板 如图4-2-29(3)。

图4-2-29(3) 加热板

⑤石棉板 如图4-2-29(4)。

图4-2-29(4) 石棉板

⑥电炉或煤气灯。

⑦100W日光灯。

(2)操作方法:将油或熔化了的脂肪样品,小心注入样品杯中,使其液面恰好在装样线上,并调节仪器的位置。使火苗集中在杯底部的中央,将温度计垂直地悬挂在杯中央,水银球离杯底约6cm。

迅速加热样品到发烟点前42℃左右,然后调节热源使样品升温速度为5~6℃/min,当样品冒少量烟,同时继续有浅蓝色的烟冒出时的温度即为烟点,可借助100W灯光看发烟时的温度。

双试验允许差不超过2℃,求其平均数即为试验结果,测定结果取小数点后一位。

(3)说明:

①样品杯要保持干净,否则会造成烟点偏低。

②在样品开始连续冒烟前,有时可能会喷出一些微弱的烟雾,这对测定结果并没有影响。

6.杂质测定(GB/T 5529-1985)

油脂杂质是指油脂中不溶于石油醚等有机溶剂的残留物。主要是泥土、沙石、饼屑、碱皂等。

杂质存在于植物油中,不仅使植物油脂品质降低,而且会加速油脂品质的劣变,影响油脂贮藏的稳定性。因此,测定油脂杂质可以评定油脂品质的好次,检查过滤设备的工艺效能,了解油脂贮藏安全性等等。

我国植物油标准规定:一级花生油、大豆油、菜籽油、香油、普通香油、葵花籽油、油茶籽油、玉米胚油、精炼棉籽油、精炼米糠油杂质指标不超过0.10%;上述二级油杂质不超过0.20%;上述油的色拉油、高级烹调油杂质指标不超过0.05%;一级工业用亚麻籽油、桐油杂质指标不超过0.10%,二级不超过0.15%,三级桐油不超过0.20%;食用亚麻籽油不超过0.15%;一级蓖麻籽油不超过0.05%,二级不超过0.10%。

(1)测定原理:利用杂质不溶于有机溶剂的性质,用石油醚溶解油样(蓖麻籽油95%乙醇溶解),应用过滤或抽提的方法使杂质与油脂分离,然后将杂质烘干、称量,即可计算出杂质的含量。

(2)试剂:

①沸程60~90℃石油醚。

②95%乙醇。

③酸洗石棉。

④脱脂棉、定量滤纸等。

(3)仪器和用具:

①抽气泵、抽气瓶、安全瓶。

②2号玻璃沙芯漏斗。

③称量皿。

④天平:感量0.0001g、0.1g。

⑤胶管、镊子、量筒、玻棒等。

(4)操作方法:

①抽滤装置准备。用胶管连接抽气泵、安全瓶和抽气瓶。用水将石棉分成粗、细两部分,先用粗的,后用细的石棉铺垫玻璃沙芯漏斗(约3mm厚),先用水沿玻棒倾入漏斗中抽洗,后用少量乙醇和石油醚先后抽洗,待石油醚挥净后,将漏斗送入105℃烘箱中,烘至前后2次质量差不超过0.001g为止。

②抽滤杂质:称取混匀试样15~20g(mL)于烧杯中,加入20~25mL石油醚(蓖麻油用95%乙醇),用玻棒搅拌使试样溶解,倾入漏斗中,用石油醚将烧杯中的杂质全部洗入漏斗内,再用石油醚分数次抽洗杂质,洗至无油迹为止。

③烘干杂质。用脱脂棉揩净漏斗外部,在105℃温度下烘至恒重(m1)。

(5)结果计算:杂质含量按下面公式计算

式中 m1——杂质质量(g);

m——试样质量(g)。

双试验结果允许差不超过0.04%,求其平均数,即为测定结果,测定结果取小数点后两位。

7.植物油脂的加热试验(GB 5531-1985)

本标准适用于鉴定商品植物油脂中磷脂的含量情况的试验。

(1)仪器和用具:

①万用电炉。

②装有细沙的金属盘(沙浴盘)或石棉网。

③烧杯:100mL。

④温度计:300~350℃。

⑤铁支柱等。

(2)操作方法:取混匀试样约50mL注入100mL烧杯内,置于带有沙浴盘的电炉上加热,用铁支柱悬挂温度计,使水银球恰在试样中心,加热在16~18min内使试样温度升至280℃(亚麻籽油加热至289℃),取下烧杯,趁热观察析出物多少和油色深浅情况。待冷却至室温后,再观察一次。

(3)试验结果:植物油脂加热试验仅是鉴别油脂中磷脂含量的简易方法,不是定量分析,因此试验结果以“油色不变”、“油色变深”、“油色变黑”、“无析出物”、“有微量析出物”、“多量析出物”以及“有刺激性异味”等表示。

微量析出物:油温加至280℃时趁热观察,有析出物悬浮;

多量析出物:析出物成串、成片结团。

8.含皂量的测定(GB/T 5533-1985)

油脂中的含皂量,即油脂经过碱炼后,由于水洗不彻底而残留在油脂中的皂化物数量(以油酸钠计)。

植物油脂含皂过高时,对油脂的质量与透明度有很大的影响。我国植物油国家标准规定:一级花生油、大豆油、菜籽油、葵花籽油、精炼棉籽油含皂量≤0.03%;一、二级普通香油、工业用亚麻籽油、油茶籽油、玉米胚油、精炼米糠油含皂量≤0.03%。

(1)方法原理:油样用石油醚和乙醇溶解后,加入比油样质量多10倍的热水使皂化物水解;

RCOONa+H2O→RCOOH+NaOH

向水解液中逐滴滴入微量强酸时,使反应向水解方向移动,直至皂化物完全水解,根据消耗酸标准溶液的毫升数即可计算出含皂量。

(2)试剂:

①沸点60~90℃石油醚。

②95%中性乙醇。

③0.2g/100mL甲基红乙醇溶液。

④1/2硫酸溶液:0.02mol/L。

⑤无水碳酸钠。

(3)仪器和用具:

①250mL锥形瓶。

②微量滴定管。

③天平:感量0.0001g,0.01g。

④量筒、烧杯、恒温水浴、电炉等。

(4)操作方法:称取混匀试样约10g(mL),注入干燥的锥形瓶中,加入乙醇10mL和石油醚60mL,摇动,使试样溶解后,缓慢加入80℃的水80mL,振摇使成乳状,滴入3滴甲基红指示剂,趁热逐滴加入硫酸溶液,每加一滴振摇一次,滴至分层下的溶液显示微红色为止,记下消耗硫酸溶液的毫升数。

(5)结果计算:油脂含皂量按下面公式计算:

式中 V——滴定用去的硫酸溶液体积(mL);

c——1/2H2SO4溶液体积(mol/L);

m——试样质量(g);

0.304——油酸钠毫摩质量(g/mmo1)。

双试验结果允许差不超过0.02%,求其平均数,即为测定结果。测定结果取小数点后两位。

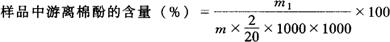
9.游离棉酚的测定(GB/T 5009.37-1996)

(1)原理:样品中游离棉酚经提取后,在乙醇溶液中与苯胺形成黄色化合物,与标准系列比较定量。

(2)试剂:

丙酮(70%),量取70mL丙酮,加水至100mL。

乙醇(95%)。

苯胺:应为无色或淡黄,若色深则重蒸馏。

棉酚标准溶液:准确称取0.1g棉酚,置于100mL容量瓶中,加丙酮(70%)溶解并稀释至刻度。此溶液每毫升相当于1mg棉酚。

棉酚标准使用液:吸取棉酚标准溶液5.0mL,置于100mL容量瓶中,加丙酮(70%)稀释至刻度。此溶液每毫升相当于50.0μg棉酚。

(3)分析步骤:

称取约1.00g样品,置于150mL具塞锥形瓶中,加入20.0mL丙酮(70%),加入玻璃珠3~5粒,剧烈振荡1h,在冰箱中过夜,过滤,滤液备用。

在两支25mL具塞比色管中,各加入2.0mL上述滤液。以甲管为样品管,乙管为对照管。另吸取0.0、0.10、0.20、0.40、0.80、1.00mL棉酚标准使用液(相当于0、5、10、20、40、50μg棉酚)各2份,分别置于甲乙两组25mL具塞比色管中,各管均加入丙酮(70%)至2mL,甲组标准管与样品管甲管各加入3mL苯胺,在80℃水浴中加热15min,取出冷至室温,各加入乙醇至25mL;乙组标准管与样品管乙管各加乙醇至25mL。两组溶液在加乙醇后均放置15min,以甲组标准的零管为试剂空白,以乙组的零管为溶剂空白,用1cm比色皿,以各组标准零管调节零点,在波长445nm处,测定两组的吸光度,以两组对应的吸光度之差,以及相应标准浓度绘制标准曲线,以样品管甲管与乙管的吸光度之差从标准曲线查出棉酚含量。

(4)计算:

式中 m——样品质量,g;

m1——测定中样液中棉酚的质量(μg)。

10.浸出溶剂的残留量(GB/T 5009.37-1996)

(1)原理:将植物油样品放入密封的平衡瓶中,在一定的温度下,使残留溶剂气化达到平衡时,取液上气体注入气体相色谱中测定,与标准曲线比较定量。

(2)试剂:N,N-二甲基乙酰胺(简称DMA):吸取该试剂1mL放入100~150mL气化瓶中,在50℃放置0.5h,取液上气0.1mL注入气相色谱仪在0~4min内无干扰成分即可使用。如有干扰成分可用超声波处理30min或通入氮气用曝气法蒸去干扰成分。

六号溶剂标准溶液:称取洗净干燥的具塞20~25mL气化瓶的质量为m1,瓶中放入比气化瓶体积少1mL的DMA密塞后称量为m0,用1mL的注射器取0.5mL六号溶剂通过塞注入瓶中(不要与溶液接触),混匀,准确称量为m2。用下式计算六号溶剂油的浓度:

式中 m0——瓶、塞和DMA的质量(g);

m1——瓶和塞的质量(g);

m2——m0加六号溶剂的质量(g);

0.935——DMA在20℃时密度(g/mL)。

(3)仪器:气化瓶(顶空瓶)(图4-2-30):体积为100~150mL,具塞。气密性试验:把1mL己烷放入瓶中,密塞后放入60℃热水中30min,密封处无气泡外漏(图4-2-30)。

图4-2-30 气化装置

1-铝盖 2-橡胶塞 3-输液瓶 4-样品

气相色谱仪:(带氢火焰离子化检测器)。

(4)分析步骤:

气相色谱参考条件:

色谱柱:不锈钢柱,内径3mm,长3m,内涂有5%DEGS的白色担体102(60~80目)。

检测器:氢火焰离子化检测器。

柱温:60℃;化室温度:140℃;

载气(N2):30mL/min;氢气:50mL/min;

空气:500mL/min。

(5)测定:称取25.00g的食用油样,密塞后于50℃恒温箱中加热30min,取出后立即用微量注射器或注射器吸取0.10~0.15mL液体上气体(与标准曲线进样体积一致)注入气相色谱,记录单组分或多组分(用归一法)测量峰高或峰面积,与标准曲线比较,求出液上气体中六号溶剂的含量。

标准曲线的绘制:取预先在色谱仪上测试六号溶剂量较低的油为曲线制备的体底油(或经70℃开放式赶掉大部分残留溶剂的食用油或压榨油),分别称取25.00g放入6只气化瓶中,密塞。通过塞子注入六号溶剂标准液0、20、40、60、80、100μL,放入50℃烘箱中,平衡30min,分别取液上气体注入色谱柱,各响应值扣除空白值后,绘制标准曲线(多个色谱峰用归一法计算)。

(6)计算:

式中 m——样品质量(g);

m1——测定气化瓶中六号溶剂的质量(μg)。

结果的表述:报告算术平均值的三位有效数。

11.对掺假油样的定性测定(GB/T 5009.37-1996)

(1)掺花生油:取油样1g,置于50mL有塞试管中加1.5mo1/L氢氧化钾乙醇液5mL,在90~95℃水浴上加热5min,加入70%乙酸50mL,浓盐酸0.5mL,摇匀,溶解所有沉淀物(必要时加热)。试管置于11~12℃水中冷却20min,发生大量浑浊或沉淀。

(2)掺豆油:取油样5mL于试管中,加入2mL三氯甲烷及3mL2%硝酸钾溶液。剧烈振摇,使完全呈乳浊色。如乳浊色呈柠檬黄色,即表示油样中含有豆油。

(3)棉籽油:取油样2mL,加戊醇与1%磺化碳溶液等量的混合液2mL,在沸水浴中加热20min,即变为红色,颜色深浅,随棉籽油在油中的比例增减。

12.油脂中非食用油的鉴别(GB/T5009.37-1996)

对常见的三类非食用油进行定性鉴别。

(1)桐油:

①三氯化锑-三氯甲烷界面法:取油样1mL移入试管中。沿试管壁加1mL三氯化锑-三氯甲烷溶液(10g/L),使试管内溶液分成两层,然后在水浴中加热约10min,如有桐油存在,则溶液两层分界面上出现紫红色至深咖啡色环。

②亚硝酸法:适用于豆油、棉籽油等深色油中桐油的检出,但不适用于梓油或香油中桐油的检出。取样品5~10滴于试管中,加2mL石油醚,使油溶解,有沉淀物时,过滤一次,然后加入结晶亚硝酸钠少许,并加入1mL硫酸(1∶1)摇匀,静置,如有桐油存在,油液混浊,并有絮状沉淀物,开始呈白色,放置后变黄色。

③硫酸法:取样品数滴,置白瓷板之上,加硫酸1~2滴,如有桐油存在,则出现深红色并且凝成固体,颜色渐加深,最后呈炭黑色。

(2)矿物油:取1mL样品,置于锥形瓶中,加入1mL氢氧化钾溶液(600g/L)及25mL乙醇,接空气冷凝管回流皂化约5min,皂化时应振摇使加热均匀。皂化后加25mL沸水,摇匀,如浑浊或有油状物析出,表示有不能皂化的矿物油存在。

(3)大麻油:取样品和对照大麻油各10μL,点样于硅胶G薄层板,此薄层板厚0.25~0.3mm,105℃下活化30min,油太黏稠则用5倍苯稀释,再进行点样,点样量稍多一点为10~20μL。展开剂用苯,显色剂为牢固蓝盐B溶液(1.5g/L)(临用配制)。当斑点和对照颜色及比移值相当时表示有大麻油。

胡麻油、香油和牢固蓝盐B也呈红色,但在薄层板上比移值较小。

13.丙二醛的测定(GB 10146-1988)

本法适于猪油中丙二醛的测定。

(1)原理:猪油受到光、热、空气中氧的作用发生酸败反应,分解出醛、酸之类的化合物。丙二醛就是分解产物的一种,它能与TBA(硫代巴比妥酸)作用生成粉红色化合物,在538nm波长处有吸收高峰,利用此性质即能测出丙二醛含量,从而推导出猪油酸败的程度。

(2)试剂:

①TBA水溶液:准确称取TBA(瑞士产品)0.288g溶于水中,并稀释至100mL(如TBA不易溶解,可加热至全溶澄清,然后稀释到100mL),相当于0.02mol/L。

②三氯乙酸混合液:准确称取三氯乙酸(分析纯)7.5g及0.1gEDTA(乙二胺四乙酸二钠,分析纯)用水溶解,稀释至100mL。

③丙二醛标准贮备液:精确称取1.1.3.3-四乙氧基丙烷0.315g,溶解后稀释至1000mL(每毫升相当于丙二醛含量为100μg),置冰箱保存。

④丙二醛标准使用液:精确移取上述贮备液10mL稀释至100mL(每毫升相当于丙二醛量为10μg),置冰箱备用。

(3)操作方法:

①样品处理:准确称取在70℃水浴上融化均匀的猪油液10g,置于100mL具塞三角瓶内,加入50mL三氯乙酸混合液,振摇0.5h(保持猪油融熔状态,如冷却即在70℃水浴上略微加热使之融化后继续振摇)用双层过滤纸过滤一次。

②准确移取上滤液5mL置于25mL钠氏比色管内,加入5mL TBA溶液,混匀,加塞,置于90℃水浴内保温40min,取出,冷却1h,移入小试管内,离心5min,上清液倾倒入25mL纳氏比色管内,加入5mL氯仿,摇匀,静止,分层,吸出上清液于538nm波长处比色(同时做空白试验)。

(4)计算:

①标准曲线制备:用标准丙二醛浓度分别为1、2、3、4、5μg做上述步骤处理,根据得出吸光度读数做标准曲线。

②样品测出的吸光度读数,从标准曲线求相应浓度A,然后按下式计算:

式中 A——猪油相应的浓度。

14.食用植物油煎炸过程中的极性组分(PC)的测定——柱层析法

(1)原理:经过煎炸的油脂通过装有吸附了一定水分的硅胶柱时,在流动相的洗脱下,其中的甘油三酸酯(即经煎炸未改变的油脂)首先被洗脱而流出色谱柱。挥去洗脱剂,称量,即为非极性组分的质量,用上柱样品的质量减去非极性组分的质量就是极性组分的质量(即经煎炸后发生了化学变化的油脂)。

本法适用于煎炸各种食品的植物油、动物油及精炼油中的极性的组分的测定。

(2)试剂:

①硅胶(柱层析用):粒度范围60~100目,按下面的方法使其含水量为5%;置硅胶于160℃烘箱中干燥24h后取出,置干燥器中冷却至室温,然后称取152g硅胶和8g水,放入500mL带有玻璃塞的磨口锥形瓶中,机械振摇1h,密封备用。

②石油醚(沸程30~60℃)∶乙醚洗脱剂:87∶13(体积分数)。

③海砂:通过煅烧和酸洗纯化。

④10%钼磷酸乙醇溶液显色剂。

⑤高效薄层硅胶G板(无荧光)。

(3)仪器采用B型柱:采用两种类型的层析柱,当实验室温度在25℃以下时,可采用A型(常用)层析柱;超过25℃时,采用带有循环水套的B型柱,见图4-2-31。

图4-2-31 层析柱

(4)操作步骤:

①样品制备:缓缓预热煎炸油样,充分混匀。如有杂质和水分可用滤纸过滤除去。用一小烧杯精密称取抽样约2.5g(准确至0.01g)。定量转移至50mL容量瓶中,用洗脱液定容后备用。

②装柱:为了防止柱内起气泡,当实验室温度低于25℃时,采用A型柱。当实验室温度高于25℃时,采用B型柱。采用B型柱时冷却水可采用高位瓶法将用冰块调成约20℃的水导入柱的夹套(如自来水温为20℃左右也可用自来水)以保证柱的温度低于25℃。

③上柱:精确吸取制备油样4(1)20mL,沿柱壁缓缓移到层析柱4(2)上。打开旋塞使样液与海沙面平齐。

④非极性组分的洗脱:把在103℃±2℃的烘箱中干燥过的400mL烧杯置干燥器内冷却至室温并平衡30min,在分析天平上称量其质量为m1,置柱下,加250mL洗脱液。洗脱速度约为2mL/min,洗至液面与海沙面平齐,然后用少量洗脱液清洗旋塞以下的外壁,收集在质量为m1的烧杯中,为非极性组分。

⑤蒸发称量:把上述烧杯中的洗脱液置温度为90℃的水中蒸发至干,然后精密称量质量为m2

(5)计算:

x=[m-(m2-m1)]/m×100

式中 m——上柱油样的质量(g);

m1——空杯质量(g);

m2——m1+非极性组分质量(g);

x——极性组分含量(%)。

(6)说明:

极性组分:极性组分是食用油在煎炸食品的工艺条件下发生劣变,发生了热氧化反应、热聚合反应、热氧化聚合反应、热裂解反应和水解反应,产生了比正常植物油分子(甘油三酸酯)极性较大的一些成分,是甘油三酸酯的热氧化产物(含有酮基、醛基、羟基、过氧化氢基和羧基的甘油三酸酯)热聚合产物、热氧化聚合产物、水解产物(游离脂肪酸、一酸甘油酯和二酸甘油酯)的总称。

15.动物油脂熔点的测定(GB/T 12766-1991)

(1)原理:在规定条件下,把含有一已凝固的脂肪柱的毛细管浸入一规定深度的水中,按规定速率加温,把观察到的毛细管内脂肪柱开始上升时的温度作为熔点。

(2)仪器和设备:

①毛细玻管:均质薄壁且两端开口,内径1.0~1.2mm,外径1.3~1.6mm,壁厚0.15~0.2mm,长度50~60mm。新的毛细管在使用前,须依次用铬酸洗液、水和丙酮彻底清洗,然后在烘箱中干燥。

②温度计:校正过的,读数到0.1℃范围。

③冷却水浴:用盐水或其他非凝固的液体注入,恒温在-12~-10℃,或用碎冰和盐混合达到该温度。

(3)分析步骤:

①毛细管装样:取部分试样(均样)于容器中,在高于样品熔点5~10℃的温度使之尽快融化。

取毛细管2根,分别吸已溶化的试样,高度达10mm±2mm。迅速擦去粘附在管子外表面的脂肪后,立即把毛细管靠在冰块上,使脂肪凝固。

然后把管子放入冷却水浴[见(2)③条]冷却5min。

②测定:用一橡皮圈,把两根已装好试样的毛细管和温度计绑在一起,使靠近管子底部的脂肪柱与水银球相平。

在500mL烧杯中,注入半杯预先烧开过并已冷却到15℃的水,然后将绑好毛细管的温度计悬挂在水中,使水银球底部距离水面30mm。

用酒精灯加热,控制水温上升速率为3~4℃/min,同时搅动杯中的水。

立即观察两根毛细管中的每一个脂肪柱开始上升时的水温,记录平均数作为一个测定的结果。

(4)分析结果的计算:当分析结果符合允许差的要求时,则取两次测定的算术平均值作为结果,精确到0.1℃。

(5)允许差:由同一分析者同时或相继进行的两次测定结果之差不得超过0.5℃。

16.酸价、过氧化值、羰基价、砷、黄曲霉毒素B1的测定参见第二章第二节。

(四)动物油脂试样的制备

本法等效采用ISO661-1980《动植物油脂—试样的制备》。

1.适用范围

本法规定了从动物油脂的实验室样品中制备试验样品的程序。

本法适用于动物油脂的试样制备。

本法不适用于乳化脂肪,如黄油、人造黄油、蛋黄油等等。

2.测定

(1)原理:摇动脂肪状物质,使样品均匀成为液体,必要时,在适当温度下加热。需要时,过滤以分离不溶物,用无水硫酸钠进行干燥以除去水分。

(2)试剂:无水硫酸钠。

(3)仪器和设备:

①实验室常规仪器和设备。

②带温度调节的电烘箱。

(4)操作程序:

①澄清无沉积物的液态样品:将样品混匀,假如样品中含有水,会影响测定的结果,必须首先干燥样品,干燥时要小心,防止氧化。为此,可按每10g油或脂肪加1~2g无水硫酸钠,在调至高于熔点10℃,但不超过50℃的烘箱中,用力搅拌并过滤。将滤液作为试验样品。

②混浊或带有沉积物的液态样品:将实验样品放入调至50℃的烘箱中,使样品温度上升到该温度,然后按①所示进行操作。如果加热和搅拌后,样品还不完全透明,应将油置烘箱中保持50℃并用滤纸进行过滤,滤液必须完全澄清。将滤液作为试验样品。

③固态样品:将固态实验室样品在烘箱中加热,至高于脂肪熔点10℃,使之融化。如果加热后样品清澈,则按①中所示方法进行操作,如果混浊或含有沉积物,则按②中所示方法进行操作。

随便看

 

离鸟网收录3541549条中英文词条,其功能与新华字典、现代汉语词典、牛津高阶英汉词典等各类中英文词典类似,基本涵盖了全部常用中英文字词句的读音、释义及用法,是语言学习和写作的有利工具。

 

Copyright © 2004-2024 vtrois.com All Rights Reserved
更新时间:2026/4/9 2:36:00