网站首页  词典首页


请输入您要查询的字词:

 

字词 注孔旁支
类别 中英文字词句释义及详细解析
释义

注孔旁支


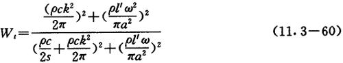
现在来讨论注孔旁支(即短管子)的效应。若此管子的长度l及半径a都小于波长,则该孔的旁支阻抗为:

式中l′=l+1.7a。第一项由通过小孔时向外界媒质辐射声声能而引起,第二项则由于孔中气体的惯性而引起。可算出功率透射比为:

旁支的声阻对声抗的比为:

若此旁支只是在主管壁上钻的一个孔,则l=0,而l′为最小值1.7α,在这极限情况时,Rb/Xb=ka/3.4。假定孔径比波长小得多,即,则在计算功率透射比时此孔的声抗相比就可略去。(11.3-60)式在略去ρck2/2π后,就变为:

在低频时,Wt→0,在高频时Wt→100%。主管半径为3厘米,旁支为长0.6厘米,半径1.55厘米的小管,其Wt的计算值画在图11.3-9中。

图11.3-9 注孔旁支引起的声衰减

当(2.60a)式的分母等于2即时,功率透射比Wt=50%。单孔的效应是使管导变为高通滤波器。当孔径相对于主管的半径增大时,低频衰减增加,即相当于Wt=50%处的频率升高。若主管有几个孔,并且它们很靠近,以致于可以把它们看作在一点,也就是它们间隔只是波长的一个很小的分数,则它们整体的作用是它们阻抗的并联。相反,如各孔之间的距离为波长的不太大的小分数,这系统就是类似电学滤波网络或阻抗分布广泛的传输线,由于各孔反射波的相位彼此不同,功率透射比就不能按(11.3-60)式计算。而须按类似于电学滤波器的理论来决定。一般的说,若干安排适当的孔的低频衰减,要大于总面积相等的单孔。

进入单旁支的功率透射比的似的为:

在透射比为50%的频率,有。对于上例中的小孔在225Hz时,W0只有15%。因此孔的滤波作用并不是声能透出小孔,而是向声源端反射而引起。

【参考文献】:

[1]IEC—327,Precision method for pressure calibration or one—inch standard condenser microphones by the reciprocity technique. 1971.

[2]1EC—486,Precision method for free—field calibration of one inch standard condenser microphones by reciprocity technique, 1974.

[3]IEC—150.Testing and calibration of ultrasonic therapeutic equipment, 1963.

[4]GB 3223-82,水声换能器的自由场互易校准

[5]GB 3785-83,声级计的电,声性能及测量方法

[6]GB 7341-87,听力计

[7]GB 7614-87,校准测听耳机用宽频带型仿真耳

[8]GB 7342-87,测听耳机校准用IEC临时参考耦合腔

[9]OIML R102,声校准器

[10]JJG 188-90,声级计

[11]JJG 698-90,积分声级计

[12]标准电容传声器有关国家标准及检定规程

[13]JJG 388-85,听力计

随便看

 

离鸟网收录3541549条中英文词条,其功能与新华字典、现代汉语词典、牛津高阶英汉词典等各类中英文词典类似,基本涵盖了全部常用中英文字词句的读音、释义及用法,是语言学习和写作的有利工具。

 

Copyright © 2004-2024 vtrois.com All Rights Reserved
更新时间:2026/4/6 21:25:04