1.原盐中的杂质主要是残留母液,其次是固相物(泥砂、碱皮);通过洗液的稀释作用及脱卤,可除去残留母液,通过淘洗、冲洗、悬浮作用可除掉固形物。洗涤过程的模式如下:

杂质指的是Ca2+、Mg2+、SO42-……等

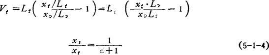
按稀释公式

杂质洗涤率η用下式求得

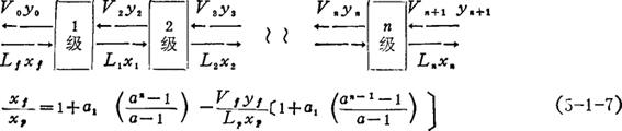
2.多级洗涤过程
(1)多级平流洗涤过程

式中 xpn——经过几级洗涤后产品中杂质含量。
xf——最初海盐中杂质含量。
实际生产上多采用此一流程。又称为一种成分、多段洗涤法。洗后液循环到一定程度后.定期定量排出系统。
(2)多级逆流洗涤过程

上式表明了原料中杂质含量与产品中杂质含量比值和溢流液与底流液之比、级数、溶剂中杂质的含量之间的关系。若溶剂中不含杂质时,yf=yn+1=0则
=1+
上述流程又可称为多种成分、分段洗涤法。
3.洗涤液质量与洗涤盐质量关系,见表5-1-16。
表5-1-16 洗液质量与洗涤盐质量关系

注:取洗盐厂洗液对1#样进行两次洗涤,洗后离心机甩干。2#样洗盐厂洗液作为一次洗液,饱和盐水作为二次洗液,洗后离心机甩干,3#样用饱和盐水加热至60℃进行二洗,甩前在60℃温水中淋浸,离心机甩干。