网站首页  词典首页


请输入您要查询的字词:

 

字词 洛必达法则
类别 中英文字词句释义及详细解析
释义

洛必达法则


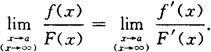
定理 设(1)当x→a(或x→∞)时,函数f(x)及F(x)都趋于零或都趋于无穷大;

(2)在点a的某去心邻域内(或|x|>N时),f′(x)及F′(x)都存在且F′(x)≠0;

(3)存在(或为无穷大)

那么

此法称为洛必达法则(L’Hospital).

随便看

 

离鸟网收录3541549条中英文词条,其功能与新华字典、现代汉语词典、牛津高阶英汉词典等各类中英文词典类似,基本涵盖了全部常用中英文字词句的读音、释义及用法,是语言学习和写作的有利工具。

 

Copyright © 2004-2024 vtrois.com All Rights Reserved
更新时间:2026/4/6 22:49:23