网站首页  词典首页


请输入您要查询的字词:

 

字词 活性嫩黄X-4G
类别 中英文字词句释义及详细解析
释义

活性嫩黄X-4G


〔名称〕活性嫩黄X-4G

〔国内编号〕活性黄1

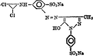
〔结构式〕

〔质量规格〕

〔性质〕

1.性质比较活泼,可在较低温度下吸色及固色,适宜于冷染,反应性较快,能在20~40℃于碱性介质中对纤维进行染固;固色率约60%。

2.亲和力小,匀染性能较好,稳定性较差,耐碱性水解,不耐酸性水解。

3.提升能力较差,故不宜染深色。

〔制备方法〕

〔用途〕

用于铬鞣革及服装革的染色。

〔贮运使用注意事项〕

1.活性染料受潮湿和较高温度会引起水解,造成染料质量下降,故应存放干燥、阴凉之库房内,容器使用后应密闭。保存期为一年。

2.活性染料对金属离子有不同程度的敏感性,特别是铜、铁离子,溶解染料和色浆的贮藏不宜采用金属容器。

〔生产单位〕

上海染化八厂。

随便看

 

离鸟网收录3541549条中英文词条,其功能与新华字典、现代汉语词典、牛津高阶英汉词典等各类中英文词典类似,基本涵盖了全部常用中英文字词句的读音、释义及用法,是语言学习和写作的有利工具。

 

Copyright © 2004-2024 vtrois.com All Rights Reserved
更新时间:2026/4/9 0:32:08