1.计算测设数据
根据测区地形及已知控制点的分布情况,首先要确定哪一点作为起始基点。例如,在图16-1中,可选定P点作为起始基点,编号为
(勘探网的编号一般是以分式表示的。编号从网的左下角开始,分母代表线号,沿基线方向增大;分子代表点号,沿测线方向增大)。

图16-1 物探网设计
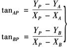
从地形图上量出P点的设计坐标值XP,YP。然后根据欲测定点P的设计坐标及已知控制点的坐标反算出坐标方位角与水平距离。如图16-2所示,A,B为已知控制点,P为欲测定的点,按下列公式:


图16-2 计算测设数据
即可计算出已知控制点A,B到起始基点P的坐标方位角αAP及αBP。同理,根据A,B两已知点的坐标,可求得它们的坐标方位角αAB及αBA。
根据坐标方位角,按A,B,P三点在实地所构成的图形计算水平角βA,βB

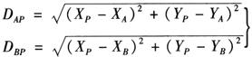
根据下列求距公式

已知控制点A,B到起始基点P的水平距离即可求得。
2.现场施测
施测起始基点的方法通常采用交会法或极坐标法。下面简单介绍利用极坐标法施测起始基点。
如图16-2所示,将全站仪安置在A点上,经对中、整平后,瞄准B点,设置直线AB方向为零度方向,逆时针转动βA角,则此时望远镜视线的方向即是AP的方向。在此方向上按计算数据DAP量取水平距离,即得P点的实际位置。