测边交会又称三边交会,是一种测量边长交会定点的控制方法。如图5-18所示,A,B,C三个已知点,P为待定点,A,B,C按逆时针排列,α,b,c为边长观测数据。

图5-18 平面测边交会
依据已知点按坐标反算方法,反求已知边的坐标方位角和边长为αAB,αCB和SAB,SCB。在△ABP中,由余弦定理得:
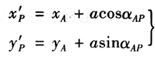
,顾及αAP=αAB-A,则

同理,在△BCP中,有:
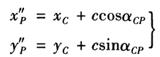
,顾及αCP=αCB+C,则

根据此两式计算出待定点的两组坐标,并计算其较差,若较差在允许限差之内,则可取两组坐标值的算术平均值作为待定点P的最终坐标。