网站首页  词典首页


请输入您要查询的字词:

 

字词 测量次数
类别 中英文字词句释义及详细解析
释义

测量次数


当对某量等精度测量n次,算平均值

若xi的标准不确定度为u(xi),则的标准不确定度当各xi无关时

由此可知测量次数。

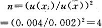
〔例2.7-2〕某仪器测量工作尺寸的u(xi)=0.004mm,要求平均值的标准不确定度,问须测几次?

故须测4次。

故增加测量次数可减小不确定度,但因u(xi)的减小与成正比,故减小愈来愈慢。

当各xi完全正相关时

此时增加测量次数,不能减小不确定度。

由于测量次数的增加使测量时间增长,导致测量条件变化,从而会产生一些新的不确定度来源,故测量次数不宜太多。

参加测量次数对减小测量不确定度只能起一定效果。

【参考文献】:

[1]王立吉,计量学基础,中国计量出版社,1988。

[2]BIPM、IEC、IFCC,IUPAC,IUPAP,OIML,Guide to the Expression of Uncertainty in Measurement, ISO,1993.

[3]刘智敏,不确定度原理,中国计量出版社,1993。

[4]刘智敏,误差分布论,原子能出版社,1988。

[5]刘智敏,误差与数据处理,原子能出版社,1983。

[6]Liu Zhimin(刘智敏),Measurement Uncertainty and Its Correlation Combination,Proceeding of ISEM, 1993.

[7]国家计量总局量值传递处编,计量技术考核纲要,计量出版社,1981。

[8]国家技术监督局审定,刘智敏等编审,全国计量检定人员考核统一试题集第六分册三,误差及数据处理,陕西科学技术出版社,1990。

随便看

 

离鸟网收录3541549条中英文词条,其功能与新华字典、现代汉语词典、牛津高阶英汉词典等各类中英文词典类似,基本涵盖了全部常用中英文字词句的读音、释义及用法,是语言学习和写作的有利工具。

 

Copyright © 2004-2024 vtrois.com All Rights Reserved
更新时间:2026/4/7 9:08:43