网站首页  词典首页


请输入您要查询的字词:

 

字词 海洋饵料生物调查
类别 中英文字词句释义及详细解析
释义

海洋饵料生物调查


一、海洋大型底栖生物调查

海洋底栖生物按其身体大小,可区分为大型底栖生物、小型底栖生物和微型底栖生物三类。本《手册》仅介绍大型底栖生物的调查取样。

(一)调查工具 海洋底栖生物调查取样工具主要有海底表面采泥器和各种拖网。

1.表面采泥器

(1)HMN表面采泥器,取样面积为0.1m2

(2)弹簧式表面采泥器(Smith-Mcintyre型采泥器),取样面积0.1m2,适于在硬沙底质区取样。

(3)大洋-50型采泥器,取样面积为0.05m2,在无动力设备的小船上用手摆绞车操作时,可选用这种小型采泥器。

2.网具

(1)桁网:适于在软相海底调查取样,可捕获较多在近底层水域游泳活动的动物,例如虾类。一般应选用网口宽1.5m的网具。用小船取样时,可改用网口宽1m的网。网囊部分网目不得大于1cm。

(2)阿氏网:适于在砂底海域调查取样,其网口宽度及网衣规格与桁网同。

(3)双刃网(刮底网):在海底地形复杂的区域,如在岩石裸露或有砾石的区域拖网时,最好采用网口宽80cm的双刃网。

(4)耙网:专采贝类,网口宽1m。

短齿型:拖采扇贝等表栖贝类。

长齿型:拖采底内埋栖的贝类。

3.套筛 三层,自上而下网目分别为10mm、5mm和1mm。

4.其他用具解剖器具、搪瓷盘、手持放大镜、培养皿、广口瓶、指管、标本箱(桶)、秤、尺、闹钟、照相机、标本固定剂、卡片、标签、海上工作日记等。

5.船上设备

(1)拖网用绞车、吊杆(负荷1.5t)、钢丝绳(Φ6-7mm)300m(若用渔轮或尾部有滚筒的调查船取样,可以不用吊杆)和放绳计数器。

(2)采泥用绞车、吊杆(负荷500kg)、钢丝绳(Φ4mm)200m及放绳计数器。

(3)冲水设备。

(二)海上调查

1.调查前准备 根据该航次调查取样站数,备足采集工具、容器、固定剂和保存液等。同时检查船上的取样设备(如绞车、钢丝绳、吊杆和冲水设备等)是否进入可工作状态.

2.取样

(1)采泥:每站采泥面积一般0.1m2×2(取两个样),也可根据实际情况,加大采样面积(增加采样次数,0.2-1m2)。在动物贫乏和大型动物为主的情况下,采泥面积要大些,以提高样品的代表性。

(2)拖网:在一般情况下,拖网取样应在采泥取样结束,调查启航之后进行。具体操作应注意如下事项:①根据海底地形和沉积物特点,选用适当的网具。②在放网过程中船应尽量慢速行驶。放绳的长度应当是水深的三倍,绳放完后应使船稍停,然后拖行。③在拖行过程中,船只航速应控制在1-3km以内。④停车(或慢速行驶)起网,网具提到船甲板后,将网获物全部释入白铁盘中,附在网袋上的动物必须除尽,以免影响调查结果的准确性。

(3)样品分离和整理:尽量在动物生活时,根据分类特点将不同种类分开,并进行登记、编号、冲洗、固定和装瓶保存。如果时间不允许,至少应将动物按类群分开装瓶。若用10%福尔马林为固定液,回到实验室后尽快换至70%酒精中保存。

(三)室内标本鉴定和资料整理

1.标本鉴定 将所采标本进行种类鉴定,在鉴定过程中,要注意计算标本个体数,观察记录个体大小、雌雄性、抱卵与否以及共栖、寄生物等情况,并在标签和整理记录上标明。

2.称量和生物量计算 一般用感量0.01g的扭力天平称量。身体大而重的动物也可用粗天平或手秤称量。称量前将标本放在吸水纸上,吸去其体表的水分,然后称重(管居多毛类要去管称重)。称量结果立即登记在卡片上。

称量工作全部结束后,要逐站计算各类群生物量和总生物量及栖息密度,填写生物量、密度登记表,然后再计算整个海区的平均生物量及密度。

3.填写种类分布卡片和种类名录标本鉴定计数后填写种类分布卡。种类分布卡可根据标本填写,也可以根据海上记录填写。卡片填妥后,按分类系统装钉成册,卷首附以目录。整理调查所得名录,可根据各册分布卡目录制成。

二、底栖动物群落结构分析的四个主要参数

1.种类多样性指数(diversity index) 是描述群落结构特征的一个重要参量,通常简单地表示存在于群落或生态系中的种类数量。也是种类丰度(richness)和种间个体数量分布均度(evenness)两者结合的一种量度。实际上是种类及其数量的信息函数。其计算方程:

式中:S为样品中的种类总数;Pi为第i种的个体数与样品中总个体数的比值。H’值反映了群落结构的复杂程度,当种间个体分布趋于均等时,该值随种类的增多而增高。

2.Margalef种类丰度指数(d):

式中:S为样品中的种类总数;N为样品中的总个体数。d值侧重于考虑群落中的种类数量,目前,该指数值一般作为种类丰度的一个量度。

3.Pielous种类均度指数(J):

式中:S——为样品中的种类总数;

J值是测种间个体均匀分布的量度,其值为0-1,最大值表示种间个体分布近于均等。

4.McNauchton种类优势度指数(D2):

式中:N1、N2——分别为样品中居第一和第二位的优势种的个体数;

NT——样品中总个体数。

D2——显示群落中前两种优势种的优势程度,其值也为0-1。

三、海洋潮间带生物调查

潮间带生物调查包括以下两项内容:

1.潮间带不同生态环境的(岩礁岸、泥沙滩、泥滩、珊瑚礁礁平台、红树林和污染区)生物调查。目的是了解潮间带生物群落的种类组成,分布特点及其与环境因子的关系。

2.滩涂生物资源(一般以经济贝类和养殖饵料种为重点)调查。目的是了解主要经济种的分布区(包括幼苗分布区)和资源量(现存量),为合理开发利用潮间带生物资源提供依据。

(一)潮间带生态调查

1.潮区划分 主要使用潮汐参数,利用周年潮位日变化的平均值进行计算。此法不受潮汐类型和潮高变化的限制,比较准确。

高潮带:上界是最大大潮高潮位,下界是本潮带与中潮带的分界线。

中潮带:上界是与高潮带的分界线,即平均高潮位(周年日平均高潮位),下界是与低潮带的分界线。

低潮带:上界是与中潮带的分界线,即平均低潮位(周年日平均低潮位),下界是最大大潮低潮位。

2.调查断面和取样站的布设 根据环境特点和调查目的而有差异,但大致掌握如下原则。

(1)岩礁海岸:陡峭,生物垂直分布比较明显的潮间带。应根据生物种类的变化情况布设取样站,站距不等。

(2)软底质海滩:对于底质多样呈斑块状分布,生物垂直分布分带较明显的海区。可根据底质和动植物种类的变化布站取样,站距不等;对于滩面平缓,底质均一,生物垂直分布不明显的潮间带,可等距布站,站数视实际情况而定,各潮带都应有代表站。

(3)排污口:靠近排污口的断面,站距应小,远离排污口,站距可稍大。也可以排污口为中心,增加两个辐射形断面。

为了使布设的断面和取样站有代表性,调查计划落实前应先进行一次现场勘察,在各种不同的环境设置主断面,此外尚可设辅助断面,增加取样。断面和取样站都应避开养殖区。

3.样品采集

(1)定量样品采集:一般按照底质类型、生物个体的大小和密度,确定采取定量样品的面积。岩礁区生物的栖息密度大,取样面积可略小,通常为1/100-1/16m2(0.1×0.1m2-0.25×0.25m2);软质海滩可略大,取1/4-1/2m2(0.5×0.5m2-0.5×1.0m2)。为了提高代表性,每站在同一水平高度取两次样品。两次样品可合装一个瓶中,也可分装,但瓶内标签和记录必须写明。软底区取样最好用取样框(高20cm左右,以铁皮或塑料板制成)置于滩面,先拣出表面上的生物,对蟹类洞穴进行计数,再用小铁锨挖掘底质,放入网目为1mm的筛网中冲洗或淘洗,拣出全部生物。挖掘深度一般在30cm左右。岩礁取样要用小取样框,把全部生物刮取干净。营固着而又易碎的生物如藤壶在刮取前先计数。

某些个体较大、栖息密度小的种(海星、海胆等)及一些活动力强的种(如蟹类),也可扩大取样面积(如5×5m2或10×10m2),将所得标本计数、称重后,换算为每平方米的密度和生物量。

(2)定性样品的采集:在每个定量取样站的周围尽可能采集所有种类的动、植物样品。

以上采到的定量、定性样品,凡属易损坏的种,均应在现场用5%福尔马林固定,回实验室后改换70%酒精保存。

(3)环境因子的调查和取样:调查并取样的项目包括间隙水(落潮时)样、底样、测量底温等,并做好记录。回实验室后,水样要求测定盐度;底样要求分析颗粒组成和有机物含量。污染区样品要增加氧化还原电位和主要污染物含量测定。

(4)记录:由专人负责调查现场的采集记录工作。记录内容大致包括站位图、环境特点、测定数据、各取样站的主要种类及栖息环境等。

4。室内工作

(1)标本称重、计算、鉴定和登记:将采得的定量、定性标本分开,按地点、断面、站号顺序排列。逐站以种为单位把标本洗净,经初步鉴定后装瓶(管)。定量标本一律用70%酒精固定,定性标本用酒精或10%福尔马林固定。称重方法同底栖生物。称重前后应计算各类生物的个体数。群体只用重量表示。藻类要注明湿重或干重(晒、烘)。分别把各种生物的个体数和重量填入表格中,并根据取样面积换算为栖息密度(个/m2)和生物量(g/m2)。优势种和主要类群应力求鉴定到种。

(2)资料整理:以定性表为根据,以种为单位,把主要种填入《潮间带生物主要种分布表》。以定量表为根据,按断面以站为单位填制《潮间带生物各类群种类及数量组成统计表》。此外,根据需要选择绘制调查区各断面、站位图、各类生物在各潮区生物量分布图、各类生物在各潮区栖息密度图和调查地区各类动、植物百分比组成图。

(二)滩涂及潮下带生物资源调查 滩涂和潮下带生物资源调查目的,是为了了解这些种类的分布区和现存量。

滩涂生物资源调查取样和样品处理方法,参照潮间带生物调查进行,但必须注意下列各点。

1.断面和取样站的布设,主要在经济生物分布区内进行。断面和取样站要避开养殖区。取样站不要设在生物最密集的地带,最好采用井形等距离布设断面和站位,以便计算面积和数量。

如分布区延伸到潮下带者,则应在潮下带布站调查,可用耙式拖网或表面采泥器在船上进行采样。

潮下带(0-5m)调查:岩礁区以潜水调查为主;软底海滩以20HP小机轮或机帆船进行拖网为主。

2.取样 为了了解经济种的种群组成及数量分布,调查采集时必须获得足够数量的样品。如果从耙网网获物中抽样,应遵循随机抽样的原则,切不可使抽取的样品偏于成年个体或幼年个体。

3.面积测量 利用测量仪器或采用等距离布站进行,计算出经济种的分布面积。

4.现存量计算 由总面积和各站的平均生物量(及密度)求得。

四、海洋浮游生物调查

(一)采集网具

1.浅水Ⅰ型浮游生物网 用于自水底至表面垂直采集浮游动物(包括浮性鱼卵和仔、稚鱼)。其构造如下表:

2.浅水Ⅱ型浮游生物网 主要用于自水底至水表面垂直采集较小型的浮游动物。其构造如下:

3.浅水Ⅲ型浮游生物网 用于水底至水表垂直采集浮游植物。其构造如下:

4.大型浮游生物网 用于表层水拖网,采集浮性鱼卵和仔、稚鱼。其构造如下:

(二)附件

1.网底管 各网底部都附有同一式样的铜质底管,用以收集采得的浮游生物样品。网底管上部外径9cm。网底管套所用筛绢型号必须与网衣筛绢一致。

2.沉锤 为使网具迅速下沉到底,减少钢丝绳的倾斜,网下端须挂由3-4个铅块组成(重约10-30kg,可视水流强弱和风浪大小酌情增减其重量)的沉锤。

3.偏角器 铜质,用以测量拖网时钢丝绳的倾角。

4.秒表 用以测定拖网速度。

(三)室内样品处理分析

1.样品编号 按出海记录先后,分别将各网样品依次编号,并分别填写浮游植物标本登记表和浮游动物标本登记表。编号标签一式两份,一份贴在样品贮藏瓶上并涂腊保护,另一份浸腊后投入样品贮藏瓶内。

2.定量分析

(1)浮游动物总生物量:以浅水Ⅰ型网所采得的浮游动物样品的湿重表示之,单位为mg/m3(或mg/100m3)。

操作:①先将样品中的夜光虫及含胶质多的种类(如水母、海樽等)分离出后称其生物量。被分离出来的标本装入相同编号的另一标本瓶中,不称生物量;②将筛绢(国际标准20号或国产NX79号、SP58号)剪成与漏斗内径等大,以水浸湿铺于漏斗中,开动真空泵抽滤去筛绢上的多余水分,将筛绢称重并记录其重量,备后用;③将此筛绢铺于漏斗中,倒入上述要称量的样品,抽滤去样品和筛绢上的水分,取筛绢和样品称重,减去筛绢重量,即得标本湿重。按公式:

(2)个体计数:浮游植物、浮游动物和鱼卵、仔、稚鱼分别进行。

①浮游植物个体计数法:根据样品中浮游植物数量的多少,把样品浓缩到适当体积。计数时先摇动样品瓶,使标本混合均匀,再以带刻度的大口移液管均匀地吸取样品0.5ml移入等体积的浮游植物计数框内,加盖玻片,在显微镜下分种计数。对失去色素和小于个体一半的残体不计数。对成胶质团的大群体和浮游蓝藻等不易数清的种类,可用等级符号表示其出现量。对偶然进入浮游生物中的成大群的底栖种(如Melosia sulcata,Nitzschia paradoxa等)要按细胞计数,但不并入浮游植物总量中。计算公式如下:

②浮游动物个体计数法:浅水Ⅰ型网样品是定量分析的主要依据。计数时,大部分浮游动物种类用此网样品,仅夜光虫、浮游有孔虫和枝角类用浅水Ⅱ型网样品计数。样品中标本数量很少者要全部计数;标本数量多的样品,对其中个体较大、个数较少的种类(如箭虫、大型甲壳类、海樽等)也全部计数。其他种类在样品充分摇匀后,用带刻度的玻璃吸管取样计数(取样比例要适当,一般Ⅰ型网样品不得小于1/10,Ⅱ型网样品不得小于1/50。取出的样品移置于容量5ml的浮游动物计数框中,在解剖镜下计数。残损近半的标本以二当一计算。计算公式:

计算出单位体积海水中的个体数。

③鱼卵和仔、稚鱼计数法:从普查大型浮游生物网和浅水Ⅰ型网样品中挑出鱼卵和仔、稚鱼,在解剖镜下按种和各种的发育阶段分别计数。卵的发育期分卵裂期、胚环期、胚体期和孵化期;仔鱼分仔前期、仔后期、稚鱼期和幼鱼期。坏卵无法分期,但仍需计数。计算公式如下:

(表示每平方米海面下的个(尾)数)。

大型浮游生物网中的鱼卵和仔、稚鱼,则计算每网次出现的个(尾)数。

五、浮游动物标本及种间的相似性公式

探讨标本间的现存量和所出现的种类组成相似性,有助于查明它们各自的量的关系和种间关系。而且有相似性的研究结果可以探明浮游动物结构的细微部分,并且可能进行水块或水系的区分。种类组成的变化可作为集群间的生产结构和环境变化的指标。

两个标本之间的量的相似性(Sa)可由下列求得:

A,B为这两种标本各自的现存量。

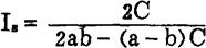
把出现种类的相似性表示成最简单的方法,即相似系数(C.)。可由下列求得:

a、b为两种标本中所出现的浮游动物种类数;C为这两种标本中相同的浮游动物种类数。

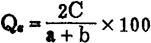
Sorensen(1948)用相似商(Q)来代替相似系数。

Mountford(1962)用下列公式表示相似系数(Is)。

Morisita(1959)用Simpson(1949)多样性指数比较两种标本间的相似性。

λ为Simpson多样性指数;N为标本1中出现的总个体数;n为各种类的个体数。

六、主要海产浮游生物的体积(μm3/个体)和含碳量(皮克碳/个体)。

表3-8 主要海产浮游生物的体积和含碳量

七、海洋微生物调查样品处理和计数

海洋微生物绝大部分是异养性微生物,主要包括各种生理类型的细菌、放射菌和真菌(包括酵母)。

(一)异养微生物计数

1.水样中微生物量的计数 首先将备制好的1∶2000吐温80表面活性剂水溶液,每100ml中加入1ml水样,使其浓度成为百万分之五(5ppm),充分摇匀,使菌团分散。若水样中含菌量过高,通常把水样按10的倍数作样度稀释,采用适宜的水样稀释液作平板计数。

(1)涂布平板培养计数法:

①用1ml的无菌移液管准确吸取0.1ml的水样(或用校正过的滴管加两滴约0.1ml),注入预先准备好的“2216E”平板培养基上。

②用无菌三角玻棒将水样均匀涂沫在培养基表面。

③用标签在皿底标明方法,皿号和日期,每个样品同时做三个,求其平均值。

④将培养基倒放在25℃的培养箱中,培养4-7天后计算出现的菌落数。按下列式子计算:

(2)混合平板培养计算法:

①用无菌移液管正确吸取0.5或1ml的水样或稀释液注入直径9cm的无菌培养皿中。

②在培养皿中倒入约15ml经溶化后在45℃的水浴箱中保温的“2216E”贮备培养基,立即轻轻转动培养皿,使培养基和水充分混合,静置,冷却成平板。

③用标签在皿底标明方法、皿号、日期,每个样品同时做三个,求其平均值。

④将培养皿倒置于25℃的培养箱中,培养4-7天后,计算出现的菌落数。

2.泥样中微生物计数

(1)用减量法称取1g泥样,将其投入盛有100ml样品稀释液的瓶中,在此液中加入吐温80表面活性剂水溶液后,充分震荡,使微生物分布均匀,再依次将泥样稀释成10-3、10-4的浓度,每次稀释均需加入吐温80表面活性剂水溶液,再震荡均匀。

(2)按上述计算水样的计数法,测定稀释液的菌落数。

(3)每克泥样中的菌数按下式计算:

(二)微生物总量显微镜直接计数法

1.在白纸片上精确画出2或4cm2的方块,将此白纸衬于洁净的载玻片下方。

2.用0.1或0.5ml的无菌移液管(或经校正的毛细滴管)吸取0.05或0.1ml加入0.02%明胶的水样,放在上述载玻片上。用无菌接种环沫成均匀的薄层,涂布面积正好为2或4cm2,晾干固定后,用石碳酸藻红染液染色1-2min(或用吕弗氏美蓝液染色3-5min),水洗、吸干后放在显微镜油镜下计数。

3.如果菌数不多,数出整个油镜视野中的细菌数目,共数10-100个视野,逐个记录,求其平均值。若菌数很多,则可利用网格目微尺在10-20个视野的中央位置各取10个小方格计数,再取其平均值。

4.利用台微尺测出油镜视野的直径或方格计数网网格的边长,算出油镜视野的面积或网格的面积。

5.每毫升水样的总菌数按下式计算:

(三)某些特殊生理类群微生物的计数 测定水样或泥样中的某一特殊生理类群的微生物(如大肠菌群、氨化细菌、硝化细菌或硝酸盐及硫酸盐还原菌等)的菌数,可采用最近似菌数MPN法,即分别制备某些特殊培养基,按定量分装于小试管中,然后把检样按10倍连续稀释比例的定量分别接种于试管中,经培养后,依其生长特征或鉴别其某种代谢产物(如乳糖发酵、氨或硝酸盐的形成)记取不同接种量的阳性管数,查附表即可求得每100ml(g)检样的最近似菌数(MPN)。

1.分别吸取10ml海水,加入3支各盛有5ml灭菌的三倍浓度营养成分的某一特殊培养液试管中,作为第一组。

2.分别吸取1ml海水,加入3支各盛有约10ml灭菌的正常浓度的某一特殊培养液的小试管中,作为第二组。

3.分别吸取1ml经过以无菌水稀释成1∶10的海水(相当于原海水的0.1ml),加入3支各盛有约10ml灭菌的正常浓度的某一特殊培养液的小试管中,作为第三组。

4.3组(共9支)试管,经摇匀后,置25-30℃,培养2-3天,根据鉴别要求,记取各组产生阳性反应的管数,而取得三位数字。

5.计算与查表 设第一组3管均为阳性,第二组3管只有1支阳性,第三组均为阴性,则得“310”,查附表的(1)项内310得知(2)项中的MPN为43,即为100ml的海水中某一类群菌数为43个=43个菌/100ml。

6.如海泥或污染严重的海水,含菌数很多,必需稀释,则可依污染程度按10倍比例稀释成10-1、10-2、……10-5等不同稀释度各取1ml接种,进行培养,如第一组(三位数中的第一位数)是接种原水样1ml,则查表所得到的MPN数×10;如第一组(三位数中的第一位)是取稀释度10-1倍的1ml(等于取原水样的0.1ml),则查表所得到的MPN数×100,其余类推。

表3-9 最近似数统计表(三管法)

* 不同原液取样量(ml)出现的阳性管数。

* * 每100ml原液中的MPN。

(编者:李永函、李诺 审者:互审)

随便看

 

离鸟网收录3541549条中英文词条,其功能与新华字典、现代汉语词典、牛津高阶英汉词典等各类中英文词典类似,基本涵盖了全部常用中英文字词句的读音、释义及用法,是语言学习和写作的有利工具。

 

Copyright © 2004-2024 vtrois.com All Rights Reserved
更新时间:2026/4/9 14:14:34